4
svar
385
visningar
Rörelse
Hejsan
Har jag använt rätt metod och resonemang?
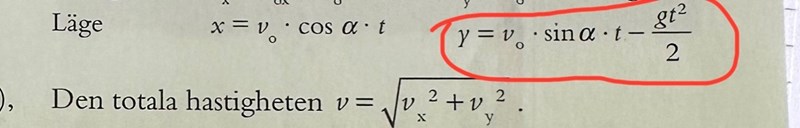
eller kan man använda detta:

Jag försökte använda detta då y=2,0 m.
v0=0
men när jag fick -gt2/2 Ensam i VL så blev det fel när jag ska ta roten ur t2 för att få t ensam . Men i VL går det inte dra roten ur negativt värde

Accelerationen är negativ, vilket medför att positiv riktning är uppåt.
När löparen rör sig nedåt 2 meter är alltså y = -2
och din ekvation blir
-2 = -gt2/2 vilket är lösbart
Ser bra ut!
