1 svar
88 visningar
anonymous003 100 – Fd. Medlem
Postad: 29 jan 2023 13:11

rörelse 2

 

Ole har alltid drömt om att släppa föremål från månen och nu har han uppfyllt sin dröm. Han släppte en månsten från 2.30 meter och mätte tiden för stenen att nå marken på 2.84 sekunder

a. beräkna tyngd accelererationen på månen

b. Beräkna moment hastigheten för stenen då den nådde marken.

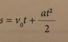
Jag använde mig av denna formeln för a.
jag satte 0 som s0 och -2.30 m som slut sträcka.

v0= 0m/s

t=2.84s

-2.30=0*2.84+(a*2.84^2)/2

-2.30=4.03a

dividerade båda sidorna med 4.03 och fick -0.57m/s^2

Stämmer det för det finns inte facit...?

Jag vet dock inte B, kan någon förklara?

Yngve 42745
Postad: 29 jan 2023 14:08 Redigerad: 29 jan 2023 14:08

Din uträkning stämmer, men de givna värdena stämmer inte.

Tyngdaccelerationen på månen är cirka 1,62 m/s2, så antingen är fallsträckan 2,3 meter eller tidsåtgången 2,84 sekunder fel.

(Eller också är Ole på en annan måne än vår måne.)

På b-uppgiften efterfrågas stenens hastighet precis innan den når marken. Du kan då använda motsvarande formel för v(t), nämligen v(t) = v0+at.

Svara
Close