Rörelse i två dimensioner
Frågan lyder:
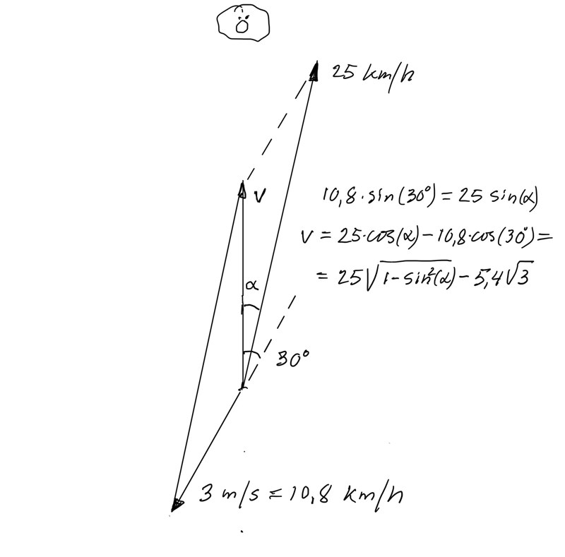
En båt är på väg mot en ö med en fart på 25km/h . Det uppstår ett vindmotstånd snett framifrån höger i 30° vinkel relativt båtens kurs mot ön. Den bromsade farten i vindens riktning är 3.0 m/s. Vad blir båtens nya fart i kurs mot ön om den håller upp mot vinden och i den (nya) riktningen har den ursprungliga farten?
Har inte kommit så långt men skickar med på det jag gjort. 
Du har tänkt rätt. Fortsätt rita båtens okända hastighet x m/s mot ön som en vektor och vindens hastighet 3 m/s som en annan vektor som utgår från samma punkt. Dra sedan en vektor mellan vektorernas spetsar med båtens hastighet 25 m/s.
Förstår tyvärr inte vad du menar. Kan du visa genom bild så kanske jag förstår bättre.
Hm... jag förstår inte hur det ska kunna hjälpa mig vidare? Vi har inte gjort på det sättet nån gång innan utan brukar använda oss av rätvinkliga trianglar.
Försök dela upp vektorerna i x och y komposanter. Vindvektorn har x-komposanten 3*cos(30) och y-komposanten 3*sin(30). Båten har x-komposanten x (okänd) och y-komposanten 3*sin(30), d.v.s. samma som vinden fast i motsatt riktning. Använd nu Pythagoras sats x^2 + (3*sin(30))^2 = 25^2 och lös ut x.
Hur vet du att båten har y-komposanten 3*sin(30) men motsatt riktning? Är det för att det ska bli jämvikt?
Testade så du skrev men blev inte rätt. Rätt svar är 15 km/h.
Jag vet inte om nåt mer är fel, men om man räknar med 3 m/s så får man göra om 25 km/h till 25/3,6 m/s också.
Det stämmer man måste omvandla till km/h. Vindhastigheten blir 3×3,6 km/h.
Jo jag omvandlade till 25/3,6 m/s. Och svaret jag fick multiplicerade jag sen med 3,6 för att få till km/h igen. Men det blev som sagt inte rätt ändå.
Jag tror det ska vara så här:
(x+3×3,6×cos(30))^2 + (3×3,6×sin(30))^2 = 25^2
Jag hänger tyvärr inte alls med 🙈


