Rörelse - likformig acceleration


Jag har ritat upp en v(t) graf för och få en bild av händelsen. T1 är den tiden det tar för bilen att gå från 60 kmh till 30 kmh. T2 är när bilen står stilla (lite orelevant kanske).
Genom att ha löst ut t1, får jag accelerationen, som är likformig genom hela händelsen. Nästa steg så tänkte jag använda någon formel för tillryggalagd sträcka gällande likformig acceleration..men är osäker på ifall mina resonemang är korrekta. Hjälp uppskattas!
- Om du vill få ut värdet på accelerationen i SI-enheter behöver du sätta in hastigheterna i m/s (jag ser inte om du har gjort det).
- Du får mycket enklare beräkningar med formeln . Använd den 2 ggr.
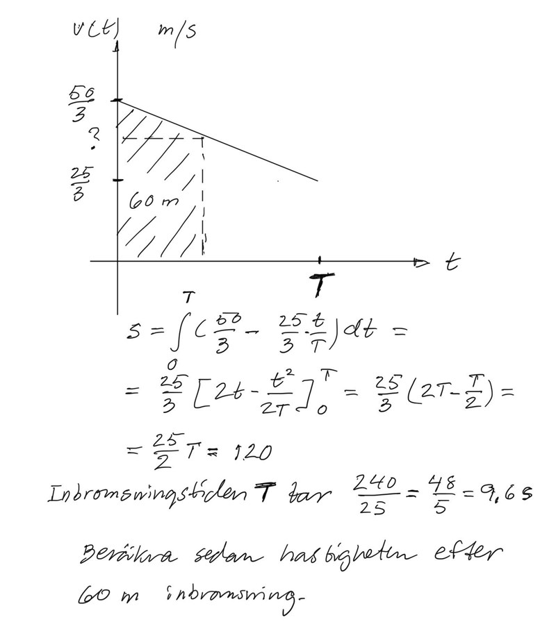
Om du trots Smaragdalenas fina förslag vill fortsätta med ditt hastighetsdiagram får du


Tack för bådas svar! Jag valde att ta den enkla vägen och använda formeln ovan 2 ggr. Men undrar vad 50/3 - 25/3 ger oss i integralen? Antar att det är skillnaden i hastigheten mellan 60 kmh och 30 kmh. Varför integrerar vid den skillnaden? Förstod inte riktigt hur arean är uppdelad under grafen, och varför T värdet är så långt ut till höger..hoppas det går att förstå vad jag menar
Det jag vet är att arean under en v(t) graf beskriver tillryggalagda sträcka. Men har svårt och se hur grafen ovan visar att den tillryggalagda sträckan är 60 m mellan 50/3 och en sluthastighet.