Rörelse och Energi
Hej har försökt lösa uppgiften:

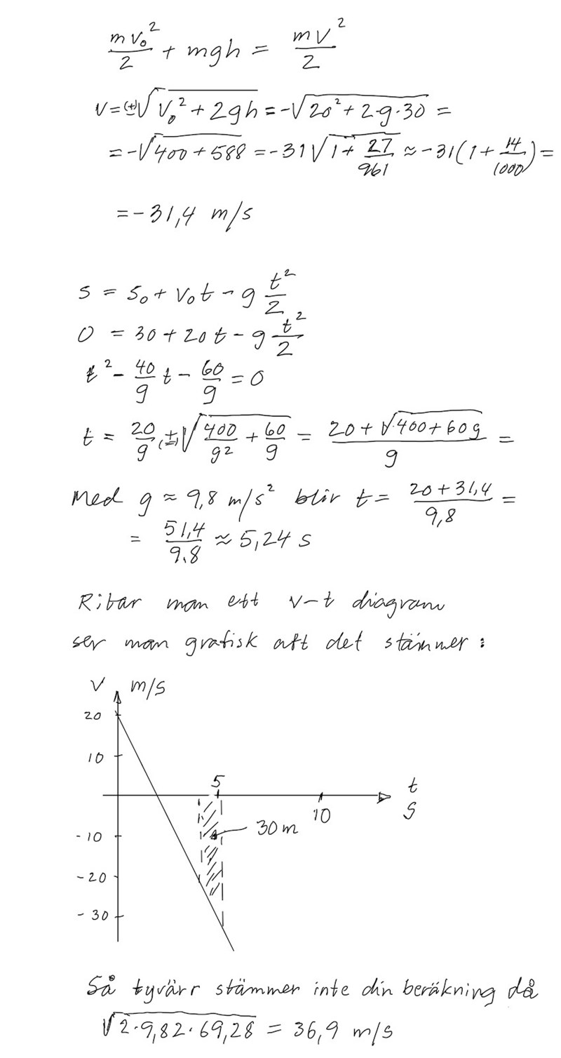
har löst hastighetsdelen på följande sätt och fått ett korrekt svar men när jag sedan försöker lösa tiden blir något fel
Har löst hastigheten på följande sätt:
mv2/2=mgh
v=√2gh
h har jag fått fram på samma sätt men genom att bryta ut h ur ekvation och sätta in värdet 20 som v alltså:
h=v2/2*g
och då är h=19,64
Då är ju den totala sträckan som bollen kommer behöva åka alltså 19,64+30+19,64=69,28 m
alltså är v lika med
v=√2*9.82*69,28
v=~31 m/s vilket är rätt
Men sen när jag räknar ut tiden med formeln
s=v+v0/2*t = t=2s/v+v0
Alltså är t=2*69.28/31,2238+20=2.7 sekunder men det ska vara 5,24 sekunder, vad har jag gjort fel?
Utan att gå igenom din uträkning så är ditt svar cirka rätt svar / 2.
Kolla om du inte missat en tvåa någonstans.
hittar inget fel i själva uträckningen bara i svaret.
