1
svar
70
visningar
Rörelseenergi och rörelsemängd
Varför får jag fel svar när jag använder mig av rörelseenergi formeln?

Jag förstår inte din uträkning alls.
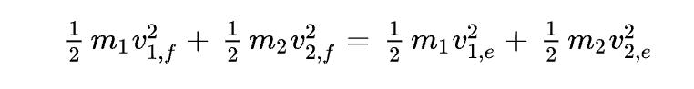
Är det denna formel du syftar på:
