3 svar
126 visningar
AbeTorre behöver inte mer hjälp
AbeTorre 2 – Fd. Medlem
Postad: 2 feb 2022 20:19

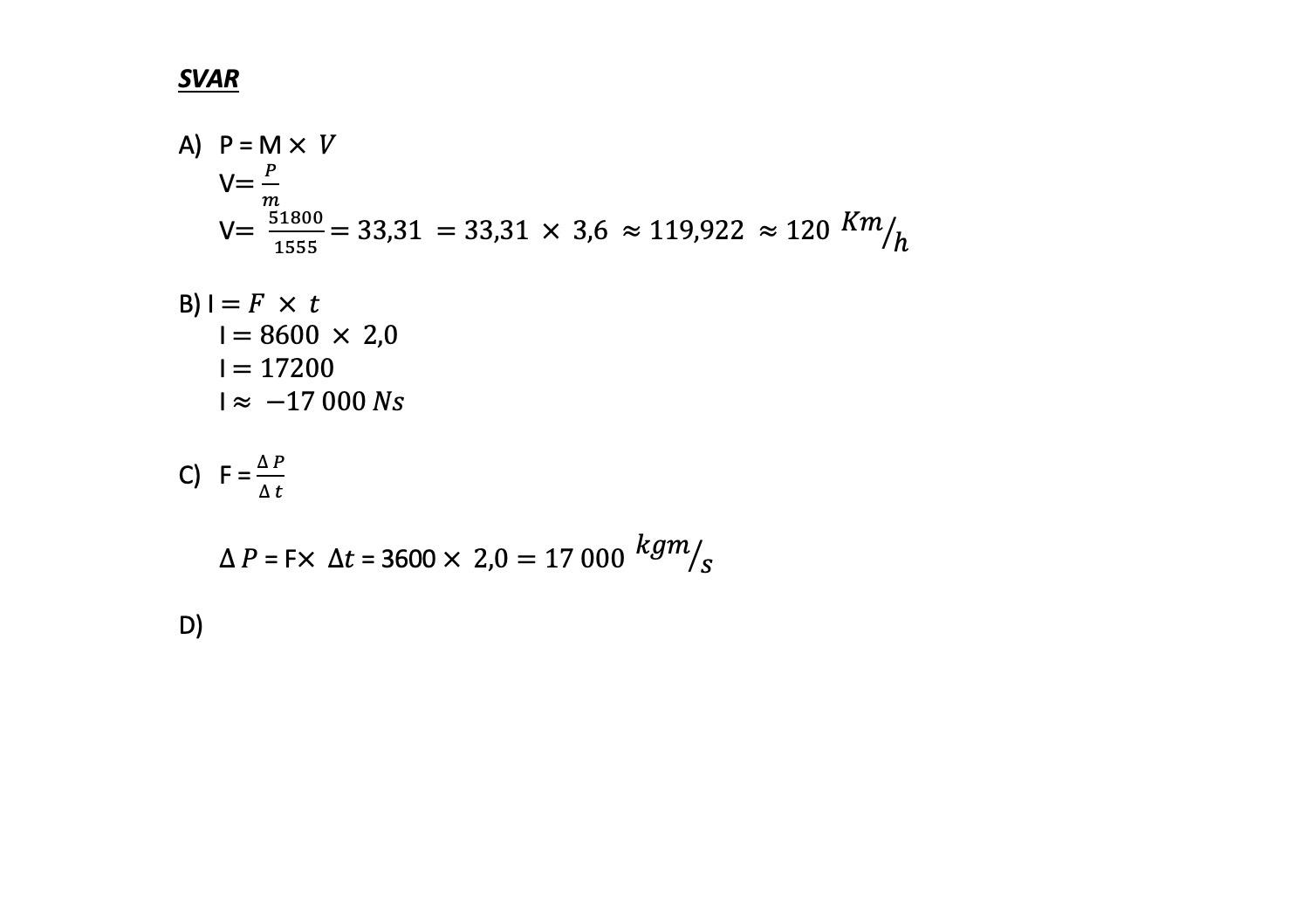
Rörelsemängd

en bil har massan 1555kg och rörelsemängden 51800kgm/s. Innan en skarp kurva bromsar bilen kraftigt i 2,0 sekunder. Bromskraften (luftmotstånd inkluderat) som verkar på bilen är 8,6kN. Utgå från rätlinjig rörelse och anta att hastighetsriktningen är positiv

 

 

A)         Vilken hastighet har bilen ( svara i km/ i tre gällande siffror )

 

B)         Hur stor är impulsen? ( svara i Ns med två gällande siffror)

 

 

C)         Vilken rörelsemängd har bilen efter impulsen? ( svara i kgm/s med två gällande siffror)

jag har försökt lösa denna frågan men får alltid fel svar kan ni hjälpa mig och ge mig tips hur man ska börja tänka här 

 

D)         Vilken hastighet har bilen efter impulsen? ( svara i km/h med två gällande siffror)

 

 

SVAR

Pieter Kuiper 9458 – Avstängd
Postad: 2 feb 2022 21:10

Rörelsemängd och impuls är i princip samma sak anser jag (jag vet att svensk skolfysik gör en distinktion där).
Så svaret på C) är 51 800 - 17 000 ≈ 35 000 kg m/s.

AbeTorre 2 – Fd. Medlem
Postad: 2 feb 2022 21:21

Tack så mycket!

jag undrar är det för att

        p före = p efter 

      m1*v1+m2*v2 = 0

       1555 *33,1+(-17 000) = 0

        = 34470,5 

       =  35 000

 

 

      

Pieter Kuiper 9458 – Avstängd
Postad: 2 feb 2022 22:51
AbeTorre skrev:

jag undrar är det för att

        p före = p efter 

      m1*v1+m2*v2 = 0

       1555 *33,1+(-17 000) = 0

        = 34470,5 

       =  35 000

Det förstår jag inte. Vad menar du med "m2*v2"?

Vad menar du skulle vara lika med noll här?

Vad är detta som är " = 35 000"? Det är inte så man presenterar en uträkning. 

Svara
Close