Rotation runt X-axeln med skivmetoden
Hej!
Har nu suttit, förmodligen lite för länge och har säkert gjort något slarvfel jag absolut inte hittar, igen... Men vad är det som blir fel? kommer aldrig fram till facit svaret, tolkar jag uppgiften fel eller gör jag helt enkelt bara fel? 

Din skiss är fin, men den hänger inte alls ihop med uppgiften (som beskriver en rät linje och en parabel). Har du blandat ihop det med någon annan uppgift?
jo det stämmer... Detta är fråga till uppgiften. Ursäkta!
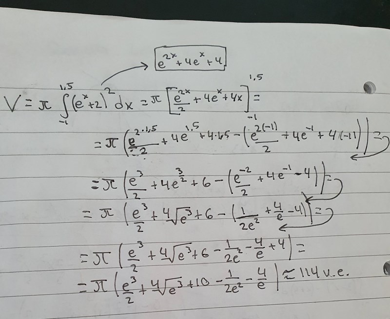
Facit säger att det ska bli 114. e.v

Och i din uträknig av (den andra) uppgiften ser jag ett flertal fel.
- Här ska det inte vara ett likhetstecken eftersom det står en integral på ena sidan och den förenklade integranden på andra sidan.
- Du måste sätta parenteser runt integranden när den består av flera termer.
- Plötsligt har den undre gränsen ändrats från -1 till -2.
- Plötsligt dyker det upp en faktor . Den borde varit med från början.
- Fel tecken på termen
- Fel tecken på exponenten
- Fel tecken på termerna

NikkeB94 skrev:jo det stämmer... Detta är fråga till uppgiften. Ursäkta!
Facit säger att det ska bli 114. e.v
OK då stämmer din ursprungliga figur bra.
Men börja om med uträkningen.
Du ska integrera ett stort antal cirkulära skivor som har centrum i y = -2. Varje skiva har en radie som beror av x och en area .
Felet du har gjort är att du inte ställt upp korrekt uttryck för radien och arean .
Titta i din figur, rita in och ställ upp ett uttryck för en radie ,
Är jag ute och cyklar med denna uppställning?
detta är vad jag lyckas pussla ihop med hjälp utav "bokens exempel"
De tidigare uppgifterna har gått utan problem, vet inte riktigt vad för kortslutning jag fått nu.

Lyckades få fram ett svar som stämmer överens med facit efter en kopp kaffe... Tack för assistansen när jag satt fast!
Nu ser det bra ut.
Det absolut bästa tipset att lösa liknande uppgifter är att alltid alltid börja med att rita en figur för att med hjälp av den förstå hur området ser ut.
Nästa steg är att med hjälp av figuren hitta integrationsgränser och uttryck för radie och därmed area.
Sedan ställa upp integralen och bara räkna på.