Rotationsellipsoid
Frågan är: Beräkna arean för den rotationsellipsoid som fås genom att rotera ellipsen x^2/2+y^2=1 runt x-axeln.
Mitt problem: jag får ett sqrt(2) för mycket och jag kan inte se varför.

Din derivata är fel. Du verkar ha tappat bort inre derivatan.
Smaragdalena skrev:Din derivata är fel. Du verkar ha tappat bort inre derivatan.
Ja det har jag. Tack!
Färdig formel för ytan ger väl:
Men du vill räkna ytan med integraler:
Smaragdalena skrev:Din derivata är fel. Du verkar ha tappat bort inre derivatan.
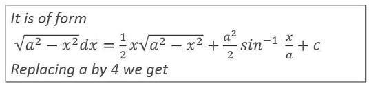
Kom närmre svaret med borttappad inre derivata 🙈 nu verkar jag vara borttappad istället 🙄 slog det sista jag kom fram till på wolframalfa för att inte "spilla tid" på något som är fel. Det verkar vara fel trots inre derivata.

Du läste väl inte länken jag gav dig, som även beskriver en arcsin() i den primitiva funktionen.
