3
svar
75
visningar
offan123 behöver inte mer hjälp
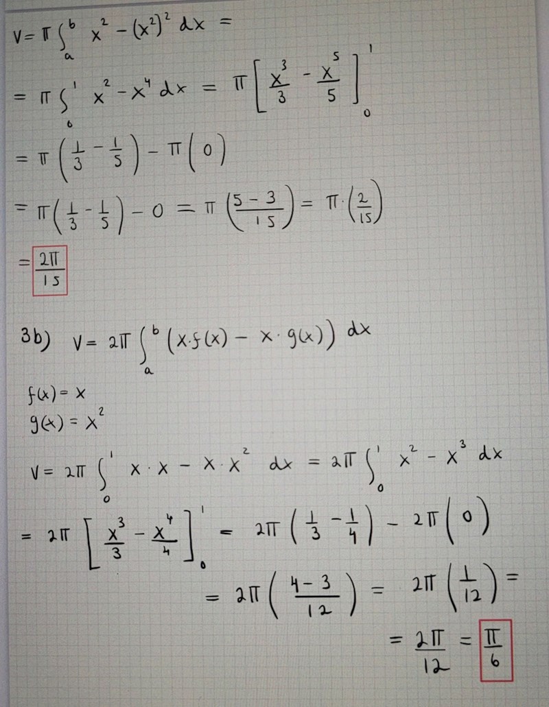
Rotationskropp kring y- och x-axeln


Ska inte rotationen kring x- och y-axeln ge samma svar, eller är det helt olika saker?
Det är helt olika saker,
Rita! (Manuellt eller med ngt dig verktyg)
Ok, men det verkar rätt det jag kommit fram till då?
Metoden är rätt, jag har inte kollat dina siffror