Rotationskropp x-axel
Hur ska jag göra
bestäm volymen:
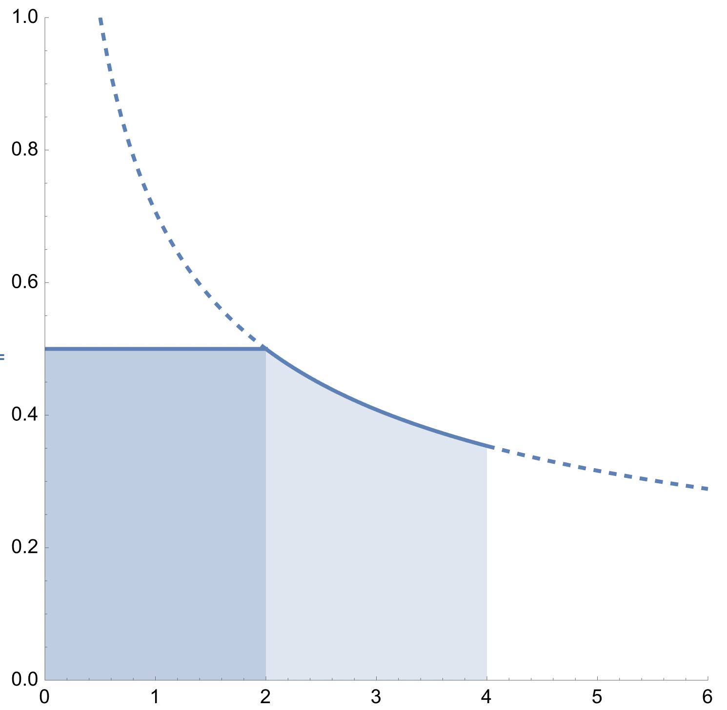
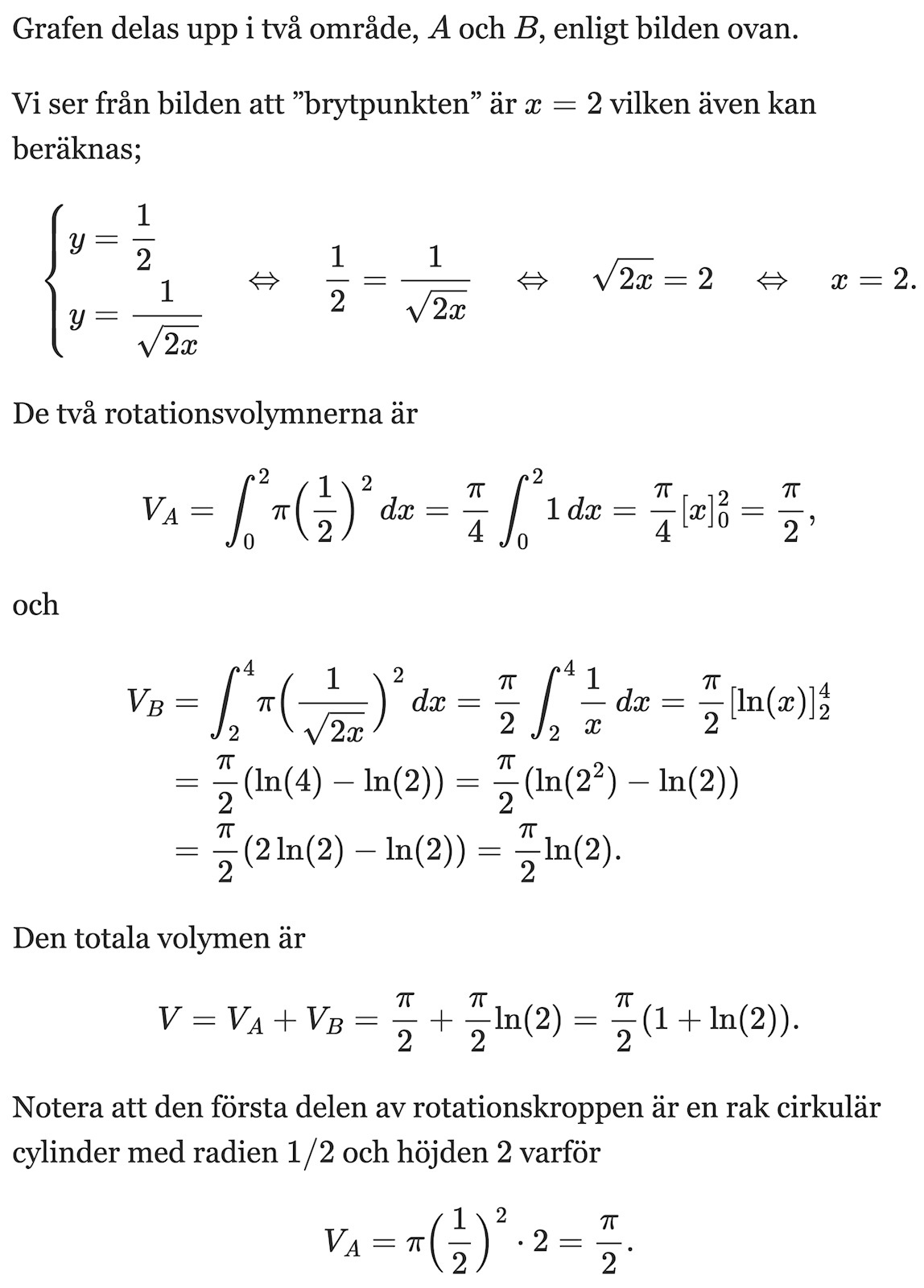
En rotationskropp skapas när ett område begränsas av y=0,5,x=4, de positiva koordinataxlarna och y=1/√2x får rotera kring x Axel. 
Vad tror du om att använda skivmetoden?
Jag har inte så mycket koll på den metoden, skulle du kunna hjälpa mig med detta?
Aha okej, det stod i mitt formelblad men det hade inte namngivits på det sättet, vad blir mitt x som ska sättas in i integralen?
Vilket x syftar du på? Om du syftar på gränserna behöver du dela upp figuren i hanterbara volymer. Uppgiften ger dig ganska tydliga ledtrådar här.
detta är formeln som används vid rotation av x-axeln. Jag misstänker att gränserna är 0,4. Hur kommer jag vidare
Här är funktionerna uppritade
Ser du då att radien (y-värdet) är konstant från x = 0 fram till skärningspunktens med x = ... ? Sedan är radien den avtagande kurvan från skärningspunktens x-värde till x = 4.
Dela upp integralen i två.
natureleven23 skrev:
Här är funktionerna uppritade


https://mathb.in/77629