2
svar
125
visningar
Umely behöver inte mer hjälp
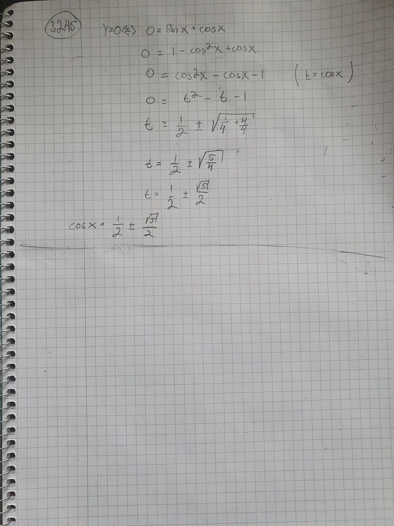
Rotationsvolym

Hej, jag började med att försöka bestämma skärningspunkten med x-axeln, men jag vet inte hur jag ska fortsätta. Det finns ingen motsvarighet i den trigonometriska tabellen till cosx och jag ska lösa uppgiften utan en räknare.
Tack på förhand!
Din omskrivning är inte rätt: det är sin2x som är 1-cos2x, inte sinx.
Men använd additionsformeln, eller skriv om ekvationen som -sinx = cosx, vilket ger -tanx = 1.
Då förstår, jag tack!