3
svar
149
visningar
Megalomanen behöver inte mer hjälp
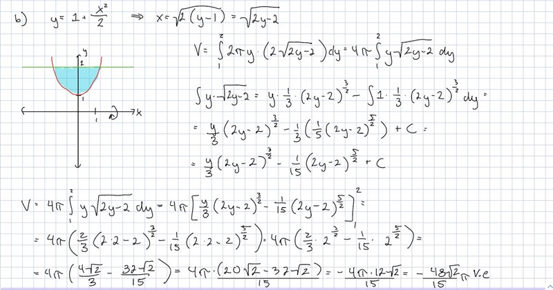
Rotationsvolym
Hej! Behöver hjälp med uppgiften. Först och främst, har jag rätt uttryck? Jag tänkte att radien= y samt höjden på min skalcylinder är 2x. Jag får negativt svar vilket inte är rätt, så antar att jag har gjort något fel på vägen men kan inte hitta det. Jag är hyfsat nära svaret.


Rätt svar:

Jag har inte kontrolleeat hela uträkningen, men här är iallafall ett fel:
Har du rätt formel för rotation kring x-axeln!?
Ja! Jag hittade felet. Ett räknefel i fjärde sista steget.