Rotationsvolym
Hej, är det någon som kan hjälpa mig med den här frågan?

Har tänkte så här, men har ingen åning hur jag ska fortsätta.

Var skär kurvan x-axeln? Det ser ut som om du tror att det är i x = 0.
När du har ett korrekt uttryck för volymen gör du som vanligt när du ska hitta maximum av en funktion.
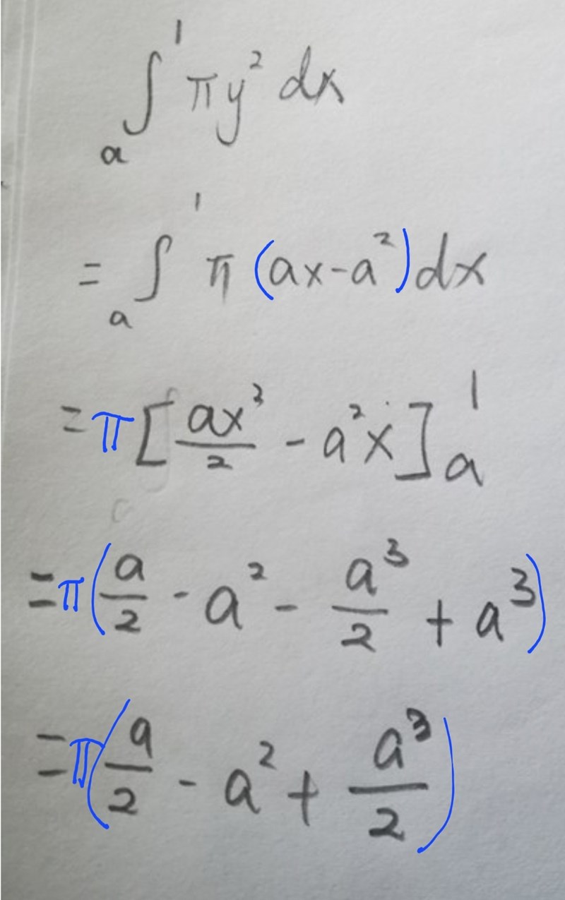
Blir det så här?

Ja, nu är gränserna rätt, men du glömde parenteser och du tappade bort faktorn , se bild.
Nästa steg blir att hitta uttryckets maximala värde givet begränsningarna.

Det är det jag undra. Ska man bryta ut ett a eller hur kan man göra?
Volymen V beror på a enligt uträkningen.
Du har alltså en tredjegradsfunktion V(a) som du vill hitta det största värdet på.
Känner du till någon standardmetod för att hitta det största värdet en funktion antar i ett intervall?
nej
Gör så här:
- Använd derivata för att söka efter lokala maximipunkter inuti intervallet.
- Undersök vad som händer med funktionsvärdet då a närmar sig intervallets gränser.
Kommer du ihåg hur man gör detta?
tack!