Rotationsvolym
Hej! Jag skulle behöva lite hjälp med uppgift 3248:
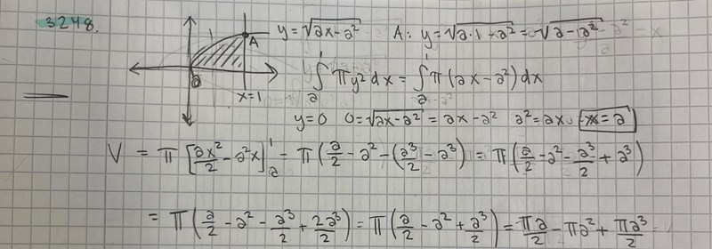
”Ett område i xy-planet begränsas av x-axeln, linjen x=1 och kurvan y=roten ur(ax-a2) där a är en konstant sådan att 0<a<1. Låt området rotera kring x-axeln och bestäm a så att rotationsvolymens volym blir maximal.”
jag började att angripa uppgiften genom att skissa upp hur området bör se ut (till vänster på bilden nedan). För att få fram en integral behöver vi också veta dess gränser. X=1 antar jag blir övre då a Max kan nå ett värde mellan 0-1. Sen undre blir väll då grafen skär y-axeln. Dvs, 0=roten ur(ax-a2). Då bör väll linjen skära y där x=a. Då den roterar runt x blir väll integralen som nedan. Sedan gjorde jag den till en primitiv funktion och provade försökte jag sätta in mina gränsvärden, så i uträckningen nedan. Jag förstår inte hur jag ska ta mig vidare nu? Har jag tänkt rätt? ☺️
Tack på förhand! :)

Det ser bra ut.
Du har kommit fram till att volymen beror av a, dvs volymen V(a) är en funktion av a.
Du vill nu hitta det värde på a som gör att V(a) blir så stor som möjligt.
Kan du komma på någon standardmetod du brukar använda för att hitta maxvärdet av uttryck?
Jag brukar använda derivata, och då sätta den till noll för att hitta extrempunkterna. Jag tror jag löst den nu! Tack för hjälpen :)