1
svar
81
visningar
solaris behöver inte mer hjälp
rotationsvolym
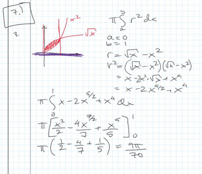
hej jag skall bräkna volymen när området mellan x^2 och sqrt(x) mellan x=0 och x=1 då den roterar runt x. jag föratår inte vad jag gör fel.
solaris skrev:hej jag skall bräkna volymen när området mellan x^2 och sqrt(x) mellan x=0 och x=1 då den roterar runt x. jag föratår inte vad jag gör fel.
Problemet är att din radie är felaktig och därmed blir skivornas area fel.
Det du kallar radie är i själva verket (det vertikala) avståndet mellan övre och undre grafen, men om du ritar en skiva vid avståndet från origo så ser du att den inte har radien .
Den har istället en yttre radie som är och ett hål i mitten med radie .
Det ger dig ett annat uttryck för skivans area än , eller hur?