Rotationsvolym kring x-axeln
Området som begränsas av kurvan y= och y-axeln roterar kring x-axeln. Bestäm en positiv konstant så att volymen blir 8pi v.e.
Jag förstår inte hur jag ska börja och varför.
Snällt om någon vill förklara.
lamayo skrev:Området som begränsas av kurvan y= och y-axeln roterar kring x-axeln. Bestäm en positiv konstant så att volymen blir 8pi v.e.
Jag förstår inte hur jag ska börja och varför.
Snällt om någon vill förklara.
Börja med att rita en figur.
Kurvan startar vid x-axeln då x = -a/5 och följer sedan en liggande parabelbåge då x växer.
Följ sedan checklistan som jag gav dig i din andra tråd. Ena integrationsgränsen och integranden kommer att bero av a så volymen kommer i sin tur att bero av a.
Sätt denna volym lika med 8pi v.e. och lös ut a.
Yngve skrev:lamayo skrev:Området som begränsas av kurvan y= och y-axeln roterar kring x-axeln. Bestäm en positiv konstant så att volymen blir 8pi v.e.
Jag förstår inte hur jag ska börja och varför.
Snällt om någon vill förklara.
Börja med att rita en figur.
Kurvan startar vid x-axeln då x = -a/5 och följer sedan en liggande parabelbåge då x växer.
Följ sedan checklistan som jag gav dig i din andra tråd. Ena integrationsgränsen och ontegranden kommer att bero av a så vomymen kommer i sin tur att bero av a.
Okej, hur vet jag att den startar där?
lamayo skrev:Yngve skrev:lamayo skrev:Området som begränsas av kurvan y= och y-axeln roterar kring x-axeln. Bestäm en positiv konstant så att volymen blir 8pi v.e.
Jag förstår inte hur jag ska börja och varför.
Snällt om någon vill förklara.
Börja med att rita en figur.
Kurvan startar vid x-axeln då x = -a/5 och följer sedan en liggande parabelbåge då x växer.
Följ sedan checklistan som jag gav dig i din andra tråd. Ena integrationsgränsen och ontegranden kommer att bero av a så vomymen kommer i sin tur att bero av a.
Okej, hur vet jag att den startar där?
Då kurvan skär x-axeln har y-koordinaten värdet 0, är du med på det?
Alltså kan du, precis som i tidigare kurser, hitta eventuella skärningar med x-axeln genom att lösa ekvationen y = 0.
I detta fallet blir ekvationen .
Yngve skrev:lamayo skrev:Yngve skrev:lamayo skrev:Området som begränsas av kurvan y= och y-axeln roterar kring x-axeln. Bestäm en positiv konstant så att volymen blir 8pi v.e.
Jag förstår inte hur jag ska börja och varför.
Snällt om någon vill förklara.
Börja med att rita en figur.
Kurvan startar vid x-axeln då x = -a/5 och följer sedan en liggande parabelbåge då x växer.
Följ sedan checklistan som jag gav dig i din andra tråd. Ena integrationsgränsen och ontegranden kommer att bero av a så vomymen kommer i sin tur att bero av a.
Okej, hur vet jag att den startar där?
Då kurvan skär x-axeln har y-koordinaten värdet 0, är du med på det?
Alltså kan du, precis som i tidigare kurser, hitta eventuella skärningar med x-axeln genom att lösa ekvationen y = 0.
I detta fallet blir ekvationen .
varför ska vi veta när y-kordinaten är 0?
varför ska vi veta när y-kordinaten är 0?
För att ta reda på den ena integrationsgränsen.
Smaragdalena skrev:varför ska vi veta när y-kordinaten är 0?
För att ta reda på den ena integrationsgränsen.
aha okej! Så när funktionen har sitt värde 0 och då ska jag se vad x är. Svårt att förstånu märker jag varför jag vill ha funktionens värde 0. Varför inte -1 eller1. Hur kan jag ta reda på den andra?
lamayo skrev:
aha okej! Så när funktionen har sitt värde 0 och då ska jag se vad x är. Svårt att förstånu märker jag varför jag vill ha funktionens värde 0. Varför inte -1 eller1. Hur kan jag ta reda på den andra?
Orsaken till att du vill veta var kurvan skär x-axeln är att du vill rita en figur över grafen så att du kan förstå hur området som roterar ser ut.
Om du inte vill rita en figur så stopp och tänk om:
- Du vill rita en figur.
Det här går inte att hoppa över. Visa hur din figur ser ut.
Yngve skrev:lamayo skrev:aha okej! Så när funktionen har sitt värde 0 och då ska jag se vad x är. Svårt att förstånu märker jag varför jag vill ha funktionens värde 0. Varför inte -1 eller1. Hur kan jag ta reda på den andra?
Orsaken till att du vill veta var kurvan skär x-axeln är att du vill rita en figur över grafen så att du kan förstå hur området som roterar ser ut.
Om du inte vill rita en figur så stopp och tänk om:
- Du vill rita en figur.
Det här går inte att hoppa över. Visa hur din figur ser ut.
Hur vet jag radien?
Yngve skrev:lamayo skrev:Yngve skrev:lamayo skrev:Området som begränsas av kurvan y= och y-axeln roterar kring x-axeln. Bestäm en positiv konstant så att volymen blir 8pi v.e.
Jag förstår inte hur jag ska börja och varför.
Snällt om någon vill förklara.
Börja med att rita en figur.
Kurvan startar vid x-axeln då x = -a/5 och följer sedan en liggande parabelbåge då x växer.
Följ sedan checklistan som jag gav dig i din andra tråd. Ena integrationsgränsen och ontegranden kommer att bero av a så vomymen kommer i sin tur att bero av a.
Okej, hur vet jag att den startar där?
Då kurvan skär x-axeln har y-koordinaten värdet 0, är du med på det?
Alltså kan du, precis som i tidigare kurser, hitta eventuella skärningar med x-axeln genom att lösa ekvationen y = 0.
I detta fallet blir ekvationen .
Det skrev Yngve till dig för 23 timmar sedan.
Kurvan ser ut ungefär så här.

Kan du fortsätta med att markera det område som roterar runt x-axeln?
Yngve skrev:Kurvan ser ut ungefär så här.
Kan du fortsätta med att markera det område som roterar runt x-axeln?
a/5=x?
lamayo skrev:
a/5=x?
Du svarar inte på min fråga.
Det grönmarkerade området är det som roterar kring x-axeln. Är du med på det?

Yngve skrev:lamayo skrev:a/5=x?
Du svarar inte på min fråga.
Det grönmarkerade området är det som roterar kring x-axeln. Är du med på det?
ja, nu har jag lärt mig hur man kommer fram till skalmetoden som du sa innan men förstår inte hur radien motsvarar y i skivmetoden? känns som det borde vara dy skillnaden i yled?
Skivorna är cirkelskivor vinkelräta mot x-axeln. Varje skiva har tjockleken dx och radien y(x).
lamayo skrev:
ja, nu har jag lärt mig hur man kommer fram till skalmetoden som du sa innan men förstår inte hur radien motsvarar y i skivmetoden? känns som det borde vara dy skillnaden i yled?
I det här fallet sker rotationen runt x-axeln.
Jag har ritat in en skiva i grönt. Skivans radie är lika med kurvans höjd, dvs y.

Yngve skrev:lamayo skrev:ja, nu har jag lärt mig hur man kommer fram till skalmetoden som du sa innan men förstår inte hur radien motsvarar y i skivmetoden? känns som det borde vara dy skillnaden i yled?
I det här fallet sker rotationen runt x-axeln.
Jag har ritat in en skiva i grönt. Skivans radie är lika med kurvans höjd, dvs y.
ja nu ser jag, men tänkte att området som roterar är ovan x-axeln och skärs skivor där så skulle det bli diametern som är y. så den gå alltså ned under också lika mycket?
Ja, hur skulle kurvan annars kunna rotera runt x-axeln?
Smaragdalena skrev:Ja, hur skulle kurvan annars kunna rotera runt x-axeln?
ja nu när du säger det låter det rätt rimligt
lamayo skrev:
ja nu ser jag, men tänkte att området som roterar är ovan x-axeln och skärs skivor där så skulle det bli diametern som är y. ...
Jag förstår inte riktigt vad du menar här.
Yngve skrev:lamayo skrev:ja nu ser jag, men tänkte att området som roterar är ovan x-axeln och skärs skivor där så skulle det bli diametern som är y. ...
Jag förstår inte riktigt vad du menar här.
Det jag menade var att jag inte förstod hur rotationskroppens radie kunde bli y då jag tänkte att det endast var volymen på den lilla funktionen jag skulle räkna ut. Glömt att se till hela rotationsvolymen.
lamayo skrev:
Det jag menade var att jag inte förstod hur rotationskroppens radie kunde bli y då jag tänkte att det endast var volymen på den lilla funktionen jag skulle räkna ut. Glömt att se till hela rotationsvolymen.
OK ... tror jag.
Yngve skrev:lamayo skrev:Det jag menade var att jag inte förstod hur rotationskroppens radie kunde bli y då jag tänkte att det endast var volymen på den lilla funktionen jag skulle räkna ut. Glömt att se till hela rotationsvolymen.
OK ... tror jag.
gjort följande
lamayo skrev:
gjort följande
Din figur stämmer inte. Jag har visat hur den ska se ut.
Ditt uttryck A = pi*r^2*h stämmer inte.
Men ditt uttryck för Vsegment stämmer och det är bra!
Du integrerar från fel håll (bytt plats på övre oxh undre gränsen).
Du har sedan tagit fram fel primitiv funktion till (5x + a). Korrekt primitiv funktion ska vara 5x^2/2 + ax.
Yngve skrev:lamayo skrev:
gjort följande
Din figur stämmer inte. Jag har visat hur den ska se ut.
Ditt uttryck A = pi*r^2*h stämmer inte.
Men ditt uttryck för Vsegment stämmer och det är bra!
Du integrerar från fel håll (bytt plats på övre oxh undre gränsen).
Du har sedan tagit fram fel primitiv funktion till (5x + a). Korrekt primitiv funktion ska vara 5x^2/2 + ax.
lamayo skrev:
Nu ser figuren rätt ut.
Det är lite svårt att tyda dina uträkningar. Kan du beskära och rotera dina bilder framöver?
Det ser rätt ut (förutom ett slarvfel på rad 3). Vad får du om du fortsätter uträkningen?
Yngve skrev:lamayo skrev:
Nu ser figuren rätt ut.
Det är lite svårt att tyda dina uträkningar. Kan du beskära och rotera dina bilder framöver?
Det ser rätt ut (förutom ett slarvfel på rad 3). Vad får du om du fortsätter uträkningen?

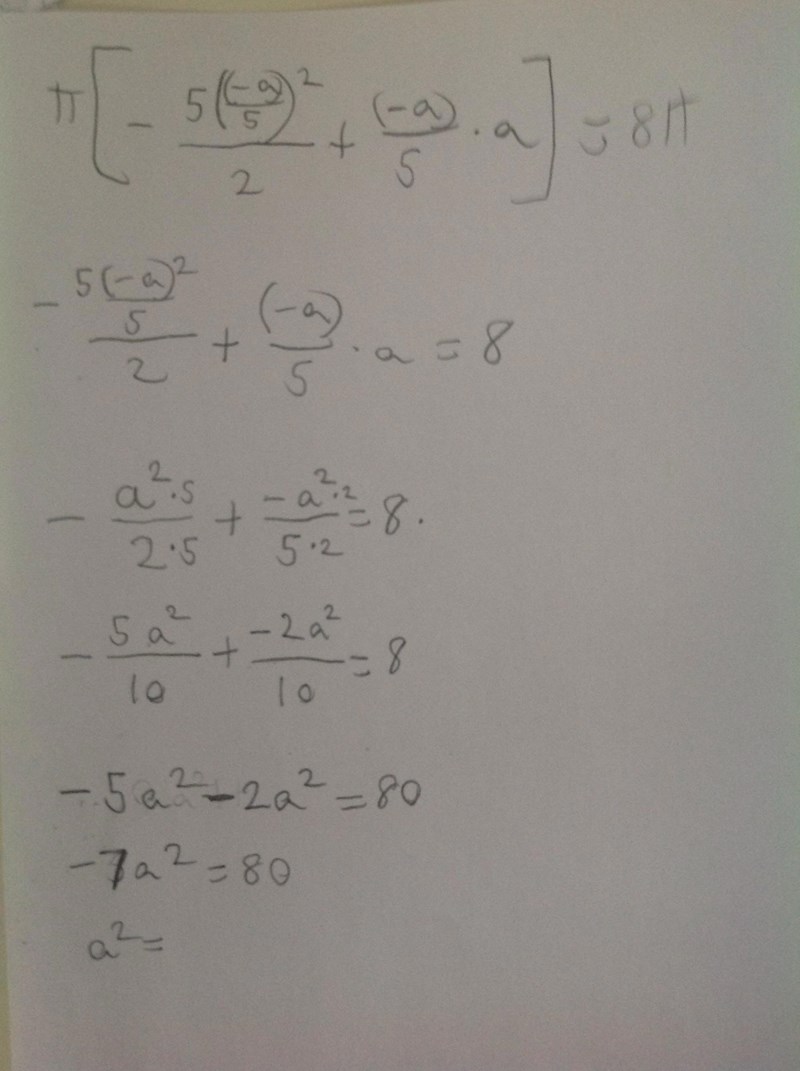
känns som jag gjort fel någonstans på vägen men ser inte var?
Du ser ut att ha tappat bort en parentes runt en del av nämnaren i första termen mellan rad 1 och 2.
Smaragdalena skrev:Du ser ut att ha tappat bort en parentes runt en del av nämnaren i första termen mellan rad 1 och 2.
av någon anledning får jag inte fram det utan endast negativa tal.
lamayo skrev:Smaragdalena skrev:Du ser ut att ha tappat bort en parentes runt en del av nämnaren i första termen mellan rad 1 och 2.
av någon anledning får jag inte fram det utan endast negativa tal.
Du beräknar integralens värde fel.
Så här ska det vara.

Yngve skrev:lamayo skrev:Smaragdalena skrev:Du ser ut att ha tappat bort en parentes runt en del av nämnaren i första termen mellan rad 1 och 2.
av någon anledning får jag inte fram det utan endast negativa tal.
Du beräknar integralens värde fel.
Så här ska det vara.
aa märkte det blev väldigt fel. Nu är jag med på hur det ska vara, tack för hjälpen

