Rotationsvolym med partialbråksuppdelning
-1.jpg?width=800&upscale=false)
Hej!
rätt svar är pi(2-ln(3)). Varför är mitt svar fel?

Partialbråksuppdelningen är fel. Det hade gått om det varit 16-x^2=(4-x)(4+x) i nämnaren men när det är kvadrater måste man göra en annan ansättning. Tar din lärobok ej upp detta?
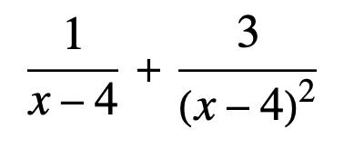
Part-uppdelningen blir


Trinity2 skrev:Partialbråksuppdelningen är fel. Det hade gått om det varit 16-x^2=(4-x)(4+x) i nämnaren men när det är kvadrater måste man göra en annan ansättning. Tar din lärobok ej upp detta?
Part-uppdelningen blir
Nu har jag ingen lärobok här. Men varför är det så? Jag hänger ej riktigt med i din partialbråksuppdelning.
Därför du beräkna en uppdelning som är
A/(4-x) + B/(4-x)
men det är ju
(A+B)/(4-x)
och dess nämnare är ej (4-x)^2.
Jag "fuskar till" täljaren genom att subtrahera 4 och addera 3, det förändrar inget då -4+3=-1
Sedan utför jag divisionen i två delar, en för x-4-delen och en för 3-delen. Den första termen kan sedan förenklas enligt ovan. Primitiva funktioner är nu lätta att bestämma till dessa två termer.
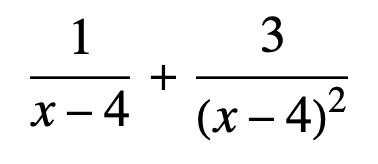
Trinity2 skrev:Därför du beräkna en uppdelning som är
A/(4-x) + B/(4-x)
men det är ju
(A+B)/(4-x)
och dess nämnare är ej (4-x)^2.
Jag "fuskar till" täljaren genom att subtrahera 4 och addera 3, det förändrar inget då -4+3=-1
Sedan utför jag divisionen i två delar, en för x-4-delen och en för 3-delen. Den första termen kan sedan förenklas enligt ovan. Primitiva funktioner är nu lätta att bestämma till dessa två termer.
Jag hänger ej med fortfarande men enligt denna youtube video https://youtu.be/2bMndF92Oqo?si=Bcihr_wZrsTN_NfL ska man skriva som
A/4-x+B/(4-x)^2 då ska man få A+B/(4-x)^2

