Rotationsvolymer
Hej!



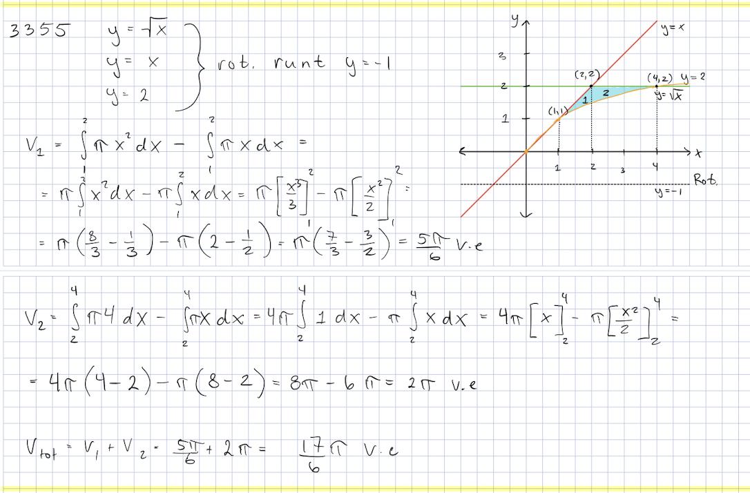
Vad är fel med min skivmetod? Borde väl fungera lika bra den? Och hur fungerar skalmetoden här. Har så svårt att föreställa mig cylindrar i detta fall. Hur ska man tänka?
Jag har lite svårt att hänga med i din lösning.
Kan du med ord beskriva vad V1 och V2 står för och vad de olika ingående integralerna avser?
EDIT - nu ser jag hur du tänker. Då är problemet precis det som Trinity2 påpekar i nästa svar..
Felet du gör är att dina beräkningar förutsätter att ytan roterar runt x-axeln.
Iom att rotationen sker runt y=-1 blir volymen större än vad som varit fallet med x-axeln.
Du kan förflytta hela grafen 1 steg upp så att du betraktar y=x+1 och y=sqrt(x)+1 och använda din metod.
Det blir då
π INT_1^2 [(x + 1)^2 - (sqrt(x) + 1)^2] + π INT_2^4 [3^2 - (sqrt(x) + 1)^2]
= π INT_1^2 [ x^2+x-2 sqrt(x) ] + π INT_2^4 [ -x-2 sqrt(x)+8 ]
= ... = 9π/2.