Rotationsvolymer
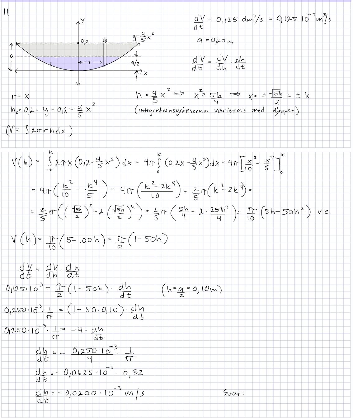
Hej! Jag får ett orimligt svar i och med att det är negativt och vattenytan ska stiga. Jag undrar vad jag har gjort för fel.


Använder du skivmetoden eller skalmetoden? Eftersom vattenytan kommer att höjas allteftersom man häller i mer vatten skulle jag rekommendera skivmetoden.
Jag använder skalmetoden. Insåg efter att skivmetoden är smartare, men jag vill kunna lösa den med båda!
I det här fallet blir det väldigt, väldigt mycket svårare att använda skalmetoden, eftersom vatten inte fungerar så! Vattenytan kommer att vara horisontell, inte vertikal.
Man borde komma fram till ett korrekt uttryck för volymen med båda metoderna. Medan man håller på skivmetoden kanske man dock kommer på att man inte behöver integrera, utan att arean är en användbar storhet.