6
svar
165
visningar
shorjs behöver inte mer hjälp
rotekvationer
den här uppgiften…jag ger upp på den snart
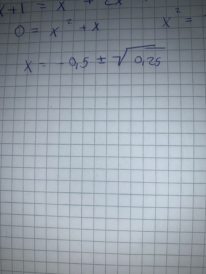
Så jag började med att flytta 1 till andra sidan. jag visar min lösning nedan. jag får svaret till att bli 0???


du har kvadrerat högerledet felaktigt
Använd kvadreringsregeln på (x+1)2
Ture skrev:du har kvadrerat högerledet felaktigt
Använd kvadreringsregeln på (x+1)2
ojjjj jag glömde
det ska stå en tvåa där så högerledet blir x^2+2x+1
men jag får det
så det blir 0=x^2+x
Japp, och vilka lösningar har den?
Ture skrev:Japp, och vilka lösningar har den?

jag fick den till detta. sen så blir det 0,5 i roten ur, och svaret blir då antingen 0 eller -1
tack så myxket d ett var rätt!
v93semme skrev:
tack så mycket! nu fattar jag
smart att använda nollproduktsmetoden
