rotekvationer-b

Jag vet inte riktigt om jag borde ha använt pq-formeln istället för kvadratkomplettering. Så jag är osäker på om jag har gjort slarvfel eller om jag använde fel metod.
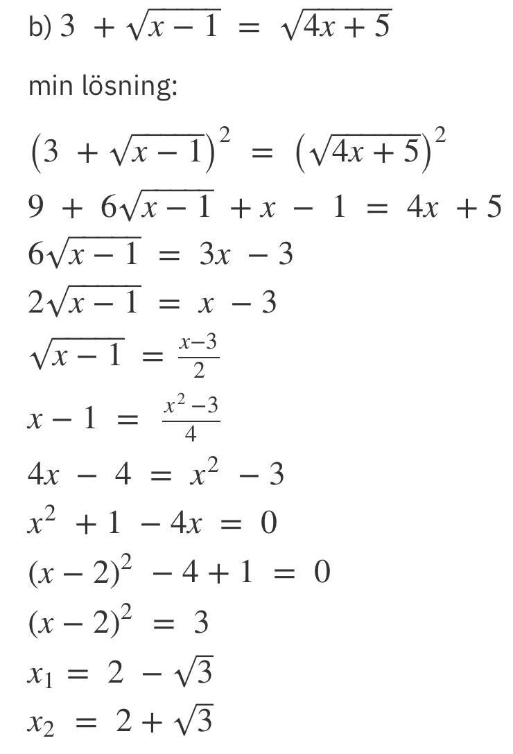
Mellan rad 5 och 6 i din lösning där du kvadrerar båda leden har det inte blivit rätt i HL
På rad 4 har du också glömt att dela 3:an med 3.
Du missar att kvadrera hela HL på ett steg . Annars ser det nog bra ut. Glöm inte kontrollera dina rötter, framför allt när du kvadrerar.
fortfarande fel....
Som Agnes skrev har du även glömt dividera konstanten 3 med 3 på rad 4
Täljaren i HL på första raden skall vara (x-1)2, inte (x-3)2 eftersom du borde ha delat även 3 med 3 på raden ovanför
Oj juste tack
Kontrollera om båda dina rötter uppfyller den ursprungliga ekvationen.
Ja de gör det.