Roten ur
Hej ,
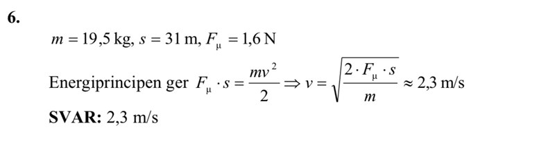
jag har tidigare läst matte 1 och nu läser jag fysik 1a. Det finns flera uppgifter som man måste använda sig av roten ur . Det var jättelänge sen jag läste matten och glömde hur man gör . Exempelvis:
jag har en casio räknare ska jag trycka på 2nd och sen roten ur (x^2) och sen skriver jag 2•1,6•31/19,5 ? Men då får jag ett annat svar en ovan . Jag har provat att sätta parentes men det blev inte rätt heller . Snälla kan någon förklara till mig hur man gör jag skulle vara så tacksam , som ni ser så vet jag svaret men jag vill veta hur man räknar roten ur för att få det svaret .
Välkommen till Pluggakuten! Det är svårt att veta vad som blir knasigt utan att veta vilken modell av Casio du har, men du kan allltid skriva om till , och slå in det på räknaren istället. :)
Har för närvarande ingen Casio, men på räknarna för mobiltelefoner och surfplattor brukar det finnas en rot-tangent. Gör alla multiplikationer och divisioner först och på slutet roten ur.