3
svar
277
visningar
Roten ur med bråk
Hej jag undrar hur man ska tänka när man ska räkna ut till exempel: roten ur 3/5 multiplicerat med roten ur 5/3.
Alltså roten ur med bråk
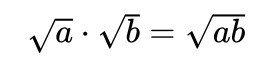
Vid rotmultiplikation så kan du multiplicera allt under samma rot och därefter räkna ut vad det blir.
Hur räknar man ut den här?
Först skriver du om till ett vanligt bråk (dvs nånting delat med 3).
Sen använder du den här regeln för att skriva allt under samma rottecken:
