4
svar
92
visningar
offan123 behöver inte mer hjälp
Rotenur
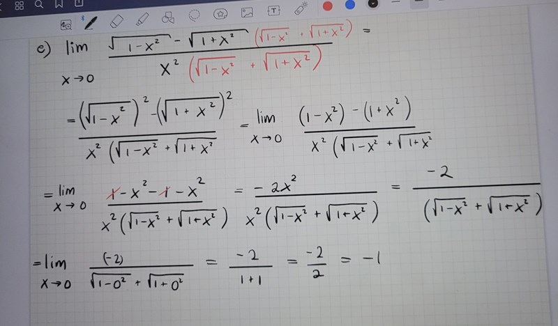
Den ser ganska lik ut konjugatregeln fast den har rotenur i täljaren. Kan man kvadrerat båda rotenur i täljaren (men då kanske man måste kvadrera nämnaren också?)
Osäker på hur du menar med kvadrera. Jag har inte löst det men skulle absolut pröva att mult täljare och nämnare med (rot + rot).
OBS Du kan inte bara kvadrera täljare och nämnare och hoppas att uttrycket har samma värde.
tre fjärdedelar är inte samma som nio sextondelar. Däremot kan du multiplicera täljaren med ett tal, förutsatt att nämnaren multipliceras med samma tal (förlängning).
Så här?
Jag har inte kollat detaljerna men det ser glimrande ut. Liten anmärkning, det saknas parentes runt “rot minus rot” i första täljaren.