2
svar
54
visningar
offan123 behöver inte mer hjälp
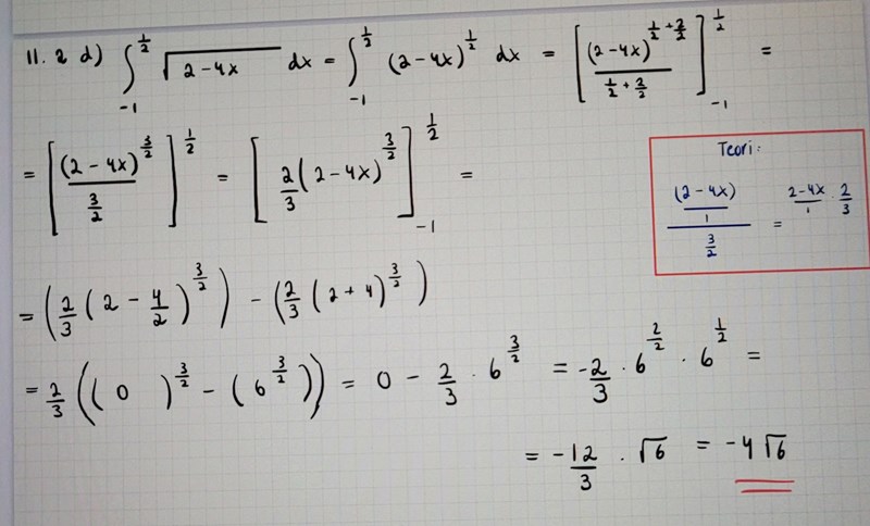
Rotenur

Jag får inte riktigt rätt här, är det fel metod? Det ska bli bara rotenur 6.
Din primitiva är fel, prova derivera och se om du får tillbaka samma sak.
Juste måste dela med inre funktionen