Rötter till komplex polynom
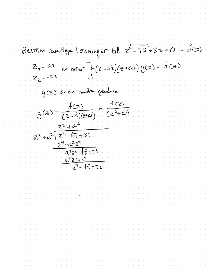
Uppgift: Ta fram rötterna till . Kommer inte vidare med uppgiften. Förstår att man behöver ta ner fjärdegradaren till en andra gradare men vet inte hur. Är tacksam för hjälp.
.jpg?width=800&upscale=false)
Du kan sätta u=z2 för att få en andragradare, men enklare är att skriva z4 = sqr(3)-3i och överföra HL till polär form.
Tomten skrev:Du kan sätta u=z2 för att få en andragradare, men enklare är att skriva z4 = sqr(3)-3i och överföra HL till polär form.
Jag kan ännu inte använda den andra metoden, jag använde den första. Får dock att jag ska ta roten av en rot för att ta fram vad mitt första b är vilket känns konstigt. Jag såg nu att jag slarvade
Problemet kvarstår dock.


Det hjälper inte mycket om du tar .
Skriv istället ekvationen i polära formen.
Kommer du vidare?
Det är just sådana situationer som "roten ur-roten" som den polära formen är en bra medicin för. Har ni inte gått genom den ännu eller varför är du tveksam?
Tomten skrev:Det är just sådana situationer som "roten ur-roten" som den polära formen är en bra medicin för. Har ni inte gått genom den ännu eller varför är du tveksam?
Jag får kolla närmare på den metoden, tack för hjälpen.