3
svar
267
visningar
spacexdragon behöver inte mer hjälp
ruten ur

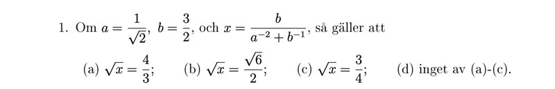
jag började först med att skriva in de värden jag har fått
så roten ur x borde vara lika med roten ur höger sidan men hur kan jag ta ruten ur
Tips! (1/2)^-2 kan skrivas som (2/1)^2
Du hade ju andra bråk. Skriv 3/2 istället för 1,5.
Pia Å skrev:Tips! (1/2)^-2 kan skrivas som (2/1)^2
Du hade ju andra bråk. Skriv 3/2 istället för 1,5.
(2/1)^2? men det är upphöjd till minus 2
menar du att kan skrivas som ?
och . Om du gör dessa omskrivningar och förenklar bråket så får du ett uttryck som är enkelt att beräkna roten ur.