2
svar
122
visningar
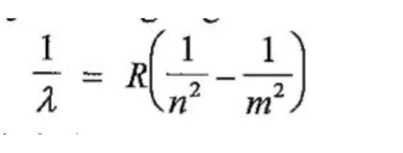
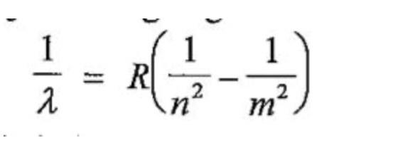
rydbergs

Ska alltid 1/n2 vara det talet som ger störst värde?
plusminus skrev:
Ska alltid 1/n2 vara det talet som ger störst värde?
Det beror väl på om atomen tar upp en foton eller sänder ut den.
Om den sänder ut en foton så går det från ett högre skal till ett lägre och då ska väl n2 vara det större?
men blir inte det ett negativt tal då?
(säg det går från 5 till 3)
