1 svar
537 visningar
itter behöver inte mer hjälp
itter 460
Postad: 26 maj 2023 13:29

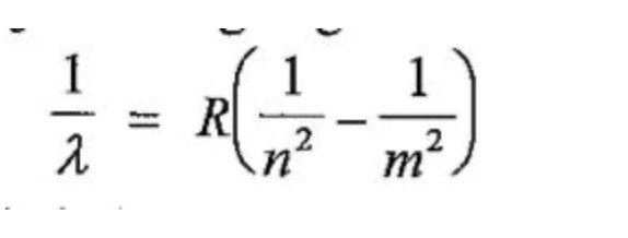
Rydbergs formel

Hade en fråga vad Rydbergs formel används till och vad n2 och m2 är för något? Är det en atoms skal? 

Judit 492
Postad: 26 maj 2023 16:10

Har lite bristande kunskaper, men du har rätt i att n och m är två olika skal där m > n.

Med formeln kan du räkna ut vågtalet (1/λ) för den foton som sänds ut när en atom går från ett energitillstånd till ett annan (dvs när en elektron ”hoppar” från skal m till skal n). Då sänds ju en foton ut och denna foton har en viss våglängd λ och ett visst vågtal 1/λ. Vågtalet kan vara praktiskt i vissa sammanhang eftersom vågtalet gånger ljusets hastighet gånger plancks konstant blir fotonenergin. 

E = hc/λ

Svara
Close