salicylsyra + butanol
Hej!
jag fick en uppgift som jag har letat efter men jag hittar inget svart. Det är mer som ett projekt som jag måste göra ensam med hjälp av internet , dock så hittar jag ingen sida som kan vara till hjälp, därför så kan jag inte komma igång med mitt projekt…
uppgiften bygger på att jag ska hitta strukturformel för salicylsyra + butanol, hur framställer man det, vad den används till… osv
Hade varit tacksam om jag hade fått några råd!!!
Visa spoiler
Skriv ditt dolda innehåll här
Välkimmen till Pluggakuten!
Om du går in på Wikipedia kommer du att hitta mycket fakta om både butanom och salicylsyra. Om du inte hittar tillräckligt mycket på svenska - byt språk till engelska så finns det mycket fylligare artiklar där.
Om det är något du inte hittar, så kom tillbaka till den här tråden och berätta vad du behöver hjälp med.
hej!
tack för svaret, jag har hittat bara butan och har även försökt byta språk till engelska dock så kan jag fortfarande inte hitta något om salicylsyra!
mvh
Om du går in på svenska Wikipedia och skriver in salicylsyra i sidans sökruta hittar du den här sidan. Om du klickar på ordet "English" under Språk i vänsterspalten, kommer du till en mycket mer innehållsrik sida.
Kolvätet butan är inte intressant i den här uppgiften, det handlar om alkoholen butanol.
Är du klar med uppgiften?
Smaragdalena skrev:Om du går in på svenska Wikipedia och skriver in salicylsyra i sidans sökruta hittar du den här sidan. Om du klickar på ordet "English" under Språk i vänsterspalten, kommer du till en mycket mer innehållsrik sida.
Kolvätet butan är inte intressant i den här uppgiften, det handlar om alkoholen butanol.
Jag har kollat igenom det och jag lyckades hitta formeln tror jag, dock så kan jag inte namnge den och jag har letat fakta kring det men det är ganska olika.
Ska det sluta med isobutylmetanoat eller är det helt fel?
Alaaaaa skrev:Är du klar med uppgiften?
Inte än uppgiften är ganska stor och det finns olika frågor kring det.
02sash skrev:Smaragdalena skrev:Om du går in på svenska Wikipedia och skriver in salicylsyra i sidans sökruta hittar du den här sidan. Om du klickar på ordet "English" under Språk i vänsterspalten, kommer du till en mycket mer innehållsrik sida.
Kolvätet butan är inte intressant i den här uppgiften, det handlar om alkoholen butanol.
Jag har kollat igenom det och jag lyckades hitta formeln tror jag, dock så kan jag inte namnge den och jag har letat fakta kring det men det är ganska olika.
Ska det sluta med isobutylmetanoat eller är det helt fel?
Nej, det skulle ha bildats om du hade haft syran metansyra (myrsyra) och alkoholen isobutanol = 2-butanol, men enligt vad du skrev innan skall du ha syran salicylsyra och alkoholen butanol, gissningsvis 1-butanol.
Smaragdalena skrev:02sash skrev:Smaragdalena skrev:Om du går in på svenska Wikipedia och skriver in salicylsyra i sidans sökruta hittar du den här sidan. Om du klickar på ordet "English" under Språk i vänsterspalten, kommer du till en mycket mer innehållsrik sida.
Kolvätet butan är inte intressant i den här uppgiften, det handlar om alkoholen butanol.
Jag har kollat igenom det och jag lyckades hitta formeln tror jag, dock så kan jag inte namnge den och jag har letat fakta kring det men det är ganska olika.
Ska det sluta med isobutylmetanoat eller är det helt fel?
Nej, det skulle ha bildats om du hade haft syran metansyra (myrsyra) och alkoholen isobutanol = 2-butanol, men enligt vad du skrev innan skall du ha syran salicylsyra och alkoholen butanol, gissningsvis 1-butanol.
Okej, jag har letat vidare och har hittat ett annat som kanske stämmer ”n-Butyl salicylate”. Jag vet fortfarande inte om det stämmer, är jag i närheten eller är det helt fel igen?
Det är rätt namn. Vad är det för sorts ämne?
Smaragdalena skrev:Det är rätt namn. Vad är det för sorts ämne?
Perfekt tack så mycket!
02sash skrev:Smaragdalena skrev:Det är rätt namn. Vad är det för sorts ämne?
Perfekt tack så mycket!
kemi 2
Nej, butylsalicylat är en ester.
Smaragdalena skrev:Nej, butylsalicylat är en ester.
Jaha ja, jag kanske inte va tydlig i min beskrivning. Jag skulle bilda en ester utav dessa ämnena.
Smaragdalena skrev:Nej, butylsalicylat är en ester.
Hej igen!
jag har fått fram en struktur formel som jag inte vet om det är rätt eller fel!
Läraren säger att jag måste följa esterfikation som jag inte vet hur man gör. Jag har kollat upp det på internet men hittar inget bra svar.
här är min struktur 
Det ser ut som en korrekt streckformel för butylsalicylat. Här är den klassiska estersyntesen.
Smaragdalena skrev:Det ser ut som en korrekt streckformel för butylsalicylat. Här är den klassiska estersyntesen.
Jaha va bra! Hörde att det skulle bildas H2O men jag kunde fick bara ett H istället. Är det fel eller?
Visa hur du har kommit fram till att du fick fram "bara ett H" så kan vi svara på om det är fel eller inte.
Smaragdalena skrev:Visa hur du har kommit fram till att du fick fram "bara ett H" så kan vi svara på om det är fel eller inte.
Jag tror jag lyckades med det…


Smaragdalena skrev:Visa hur du har kommit fram till att du fick fram "bara ett H" så kan vi svara på om det är fel eller inte.
Det bildades vatten i steg 4 ju men jag vet inte om jag borde lägga in det i slutet så istället så skrev jag H som hade lossnat i sista steget.
Vätejonen är en katalysator, så det är helt korrekt att den återbildas på slutet. Som du skrev, så har det bildats en vattenmolekyl i steg 4. Den kommer att reagera med svavelsyra så att det bildas oxoniumjon och vätesulfatjon, vattenmolekylen förbrukas så jämvikten gör att reaktionen fortsätter.
Smaragdalena skrev:Vätejonen är en katalysator, så det är helt korrekt att den återbildas på slutet. Som du skrev, så har det bildats en vattenmolekyl i steg 4. Den kommer att reagera med svavelsyra så att det bildas oxoniumjon och vätesulfatjon, vattenmolekylen förbrukas så jämvikten gör att reaktionen fortsätter.
Aha okej va bra nu förstår jag!!
tack så mycket för hjälpen!!
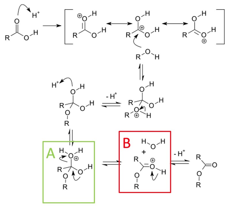
Produkten efter steg 3, den du ritade i början av steg 4 bildas aldrig.
Kolatomen som sitter på bensenringen (som var en del av karboxylsyragruppen, och nu binder till syret och resten, propylgruppen) saknar en bindning! Denna kolatom har med andra ord endast tre bindningar (kol vill ha fyra bindningar och har det under denna reaktion), så detta går inte.
Istället bildas ett tillstånd (A) som i bilden nedan, och det den vattenmolekylen som försvinner, men gör det i samband med att dubbelbindningen mellan syret och kolatomen återbildas som i (B).

Vad bra att du la märke till det, mag1! Det missade jag.
mag1 skrev:Produkten efter steg 3, den du ritade i början av steg 4 bildas aldrig.
Kolatomen som sitter på bensenringen (som var en del av karboxylsyragruppen, och nu binder till syret och resten, propylgruppen) saknar en bindning! Denna kolatom har med andra ord endast tre bindningar (kol vill ha fyra bindningar och har det under denna reaktion), så detta går inte.
Istället bildas ett tillstånd (A) som i bilden nedan, och det den vattenmolekylen som försvinner, men gör det i samband med att dubbelbindningen mellan syret och kolatomen återbildas som i (B).
Jag förstår inte riktigt, bör jag lägga en väte på kolet i butanolen eller är det på O som är kopplad till salicylsyran?
Nej du behöver inte lägga till ett väte.
Istället får du ändra din bild så den följer den klassiska Fisher-esterreaktionsmekanismen (som i bilden jag visade i mitt tidigare inlägg). Om du tittar på din bild för steg 4, så ser du att en av kolatomerna endast har tre bindningar - och det var detta jag poängterade. Vatten försvinner från detta kol, men inte det sker i samband med att en dubbelbindning bildas mellan syret och kolatomen (för skulle inte vattnet försvinna, skulle kolatomen ha fem bindningar, och det kan inte heller ske).
Samtidigt som ett av syrets två fria elektronpar hoppar ner och skapar en till bindning till kolatomen (så karbonylgruppen, C=O, bildas) så bryts bindningen mellan C-OH2+ och OH2+ -gruppen "sparkas ut", som i (A). Och i och med att detta syre får med sig båda bindningselektronerna bildas vatten (och plusladdningen balanseras ut).
mag1 skrev:Nej du behöver inte lägga till ett väte.
Istället får du ändra din bild så den följer den klassiska Fisher-esterreaktionsmekanismen (som i bilden jag visade i mitt tidigare inlägg). Om du tittar på din bild för steg 4, så ser du att en av kolatomerna endast har tre bindningar - och det var detta jag poängterade. Vatten försvinner från detta kol, men inte det sker i samband med att en dubbelbindning bildas mellan syret och kolatomen (för skulle inte vattnet försvinna, skulle kolatomen ha fem bindningar, och det kan inte heller ske).
Samtidigt som ett av syrets två fria elektronpar hoppar ner och skapar en till bindning till kolatomen (så karbonylgruppen, C=O, bildas) så bryts bindningen mellan C-OH2+ och OH2+ -gruppen "sparkas ut", som i (A). Och i och med att detta syre får med sig båda bindningselektronerna bildas vatten (och plusladdningen balanseras ut).
Okej,
jag antar det ska vara så nu i steg 4

Precis, men med ett plustecken på R-OH2+ gruppen, högst upp till höger - för när syret har lånat ut ett av sina elektronpar till vätekärnan blir laddningen plus ett (precis liknande som när laddningen blir minus ett när en syra protolyseras och en vätekärna försvinner, och båda elektronerna elektronparet i bindningen stannar kvar på syret).
mag1 skrev:Precis, men med ett plustecken på R-OH2+ gruppen, högst upp till höger - för när syret har lånat ut ett av sina elektronpar till vätekärnan blir laddningen plus ett (precis liknande som när laddningen blir minus ett när en syra protolyseras och en vätekärna försvinner, och båda elektronerna elektronparet i bindningen stannar kvar på syret).
Jaha okej då lägger jag in det också. Tack så jättemycket för hjälpen!!
För all del!