Samband funktioner
Hej! Jag förstår inte hur jag skall lösa c). A) och b) löste jag efter lite tänkande. Men jag får det inte att fungera när jag räknar på samma sätt i c).
Tacksam för hjälp, Glenn
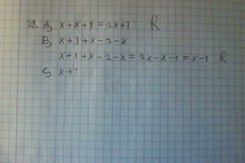
Jag bifogar också bild på mina lösningar på a och b nedan.


Glenn skrev:Hej! Jag förstår inte hur jag skall lösa c). A) och b) löste jag efter lite tänkande. Men jag får det inte att fungera när jag räknar på samma sätt i c).
Tacksam för hjälp, Glenn
Jag bifogar också bild på mina lösningar på a och b nedan.
Det är lite svårt att hänga med i dina lösningar, mest för att du inte använder parenteser. Så här skulle jag ha gjort på b:
Q + R = P + s
(x+1) +(x-2) = x+s
x+1+x-2 = x+s
2x-1 = x+s
x-1 = s
eller mer likt det du gjorde: (x+1) +(x-2) -(x+2) = x+1+x-2-x+2 = x-1
Försök en gång till med c-uppgiften, med parenteser!
