8
svar
30
visningar
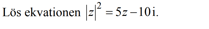
Samband mellan absolut belopp &komplexa tal

På den här uppgiften kan följa standard metoden ?
Jag bara lite osäker dock för här har jag beloppet av z
Du kan börja genom att notera att är reellt, så är reellt. Testa att ansätta och utnyttja informationen att är reellt..
Är det för att beloppet av komplexa tal alltid är reellt ?
Arup skrev:Är det för att beloppet av komplexa tal alltid är reellt ?
Ja, det stämmer.
(Svarar eftersom AlexMu är offline.)
Så här långt har jag kommit fram

Hur kan jag få fram värdet på a ?
Sista termen skall vara -10i. Inte -10.
Arup skrev:Så här långt har jag kommit fram
[...]
Detta stämmer inte:

Eftersom VL = a2+b2 så är.Re(VL) = a2+b2 och Im(VL) = 0.
Det ger ekvationerna
- a2+b2 = 5a
- 0 = 5b-10