4 svar
134 visningar
34shuno behöver inte mer hjälp
34shuno 37
Postad: 8 jan 2024 02:22

Samhällsmätning - Punkt's slutliga vinkel fråga

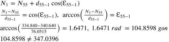
Här är en tentauppgift respektive svaret enligt facit. Jag har lyckats komma fram till hur man räknar ut allt såsom bäring, längd och Northing/Easting men inte de slutliga vinklarna för punkt 1, 2 och 6. Mitt första tankesätt var att använda sambandet N = längd * cos(vinkeln) eller E = längd * sin(vinkeln) och transformera om formeln för att isolera vinkeln men de fungerar ej i detta fall då arccos > 1 (ogiltigt).

SaintVenant 3999
Postad: 8 jan 2024 08:32

Hela formeln är:

NB=NA+dABcos(φAB)N_B=N_A+d_{AB}\cos(\varphi_{AB})

EB=EA+dABsin(φAB)E_B=E_A+d_{AB}\sin(\varphi_{AB})

Läs mer här på sidan 75:

https://www.lantmateriet.se/globalassets/om-lantmateriet/var-samverkan-med-andra/hmk/handbocker/hmk-ge_terrester_2015.pdf

34shuno 37
Postad: 8 jan 2024 20:54
SaintVenant skrev:

Hela formeln är:

NB=NA+dABcos(φAB)N_B=N_A+d_{AB}\cos(\varphi_{AB})

EB=EA+dABsin(φAB)E_B=E_A+d_{AB}\sin(\varphi_{AB})

Läs mer här på sidan 75:

https://www.lantmateriet.se/globalassets/om-lantmateriet/var-samverkan-med-andra/hmk/handbocker/hmk-ge_terrester_2015.pdf

Jag har försökt räkna ut vinkeln för punkt 1 men kommer fram till fel svar? Tänkte kanske att jag behövde tilläga vinkeln mellan station 55 och 57 men de hjälpte inte.

SaintVenant 3999
Postad: 9 jan 2024 08:26 Redigerad: 9 jan 2024 10:02

Den vinkeln du är ute efter är den medurs orienterade från nollriktningen.

Alltså är det denna:

Du kan läsa om hur du hanterar detta på sidan 76 i min länk.

Edit:

Tänk på att det är denna vinkel du beräknat:

Jag rekommenderar att du repeterar trigonometri om något är oklart.

34shuno 37
Postad: 10 jan 2024 00:22
SaintVenant skrev:

Den vinkeln du är ute efter är den medurs orienterade från nollriktningen.

Alltså är det denna:

Du kan läsa om hur du hanterar detta på sidan 76 i min länk.

Edit:

Tänk på att det är denna vinkel du beräknat:

Jag rekommenderar att du repeterar trigonometri om något är oklart.

Jaaa, jag skrev tentan idag och jag lyckaeds klura ut de som tur är. Tack för hjälpen!

Svara
Close