2
svar
96
visningar
sampledragon5 behöver inte mer hjälp
Samma definition?
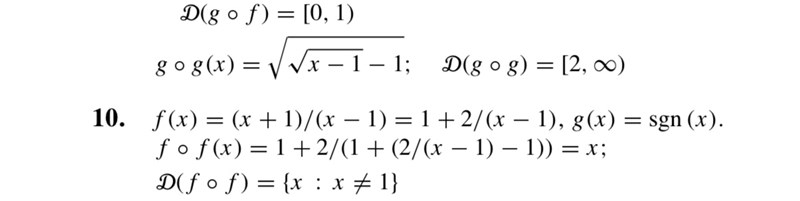
Hej! Jag vet att x får vara alla reella tal förutom x=1 men har jag uttryck detta rätt? som ni ser så har facit uttryck detta på ett annat sett, vilket gjorde mig lite osäker. Tack på förhand :) 

jag syftar på fråga 10a
Du menar samma sak som facit, alla x förutom x=1.
Tack!!!!