2 svar
76 visningar
pontus123 behöver inte mer hjälp
pontus123 19 – Fd. Medlem
Postad: 29 apr 2021 22:07

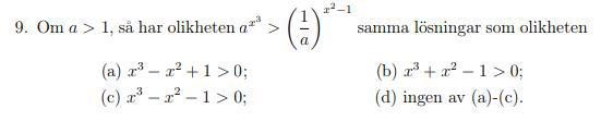
Samma lösning av två olikheter

Hej, fastnat på uppgiften

(Rätt svar är B) 

tänkte först:

x3ln(a) >( x2-1)ln(1a)x3ln(a) -( x2-1)ln(1a)>0ex3ln(a) >e( x2-1)ln(1a)x3a-( x2-1)(1a)>0x3a-(x2/a) +1/a>0

men förstår inte hur (b) och det jag får ska hänga ihop

jakobpwns 529 – Fd. Medlem
Postad: 29 apr 2021 22:13 Redigerad: 29 apr 2021 22:14

1a=a-1

så på vänsterledet får man

(a-1)x2-1=a1-x2

Sen fortsätt därifrån istället

pontus123 19 – Fd. Medlem
Postad: 29 apr 2021 22:18

tack, hade missat det helt.

Svara
Close