Sammansatt avbildning, funktionalmatris, flervariabel
Hej,
Uppgift:

Har räknat ut respektive funktionalmatris och tror att funktionalmatrisen för den sammansatta avbildningen fås genom att multiplicera de två enskilda.
Så multiplicerade båda och får fram:
Svaret är att båda uttrycken ska bli 1. Jag tänker att t_1/t_2 och x_1/x_2 är lika och man kanske kan lösa ut något av de?
Jag kan inte se att dina kvoter ska bli lika och om jag stött på funktionalmatriser har jag glömt det,
Men om man helt enkelt sätter ihop funktionerna tilll en sammansatt avbildning blir den onekligen identitetsavbildningen vilket låter som det stämmer med att funktionalmatrisen är enhetsmatrisen (om det är det det betyder att båda uttrycken blir 1)
När du räknat ut funktionalmatrisen för f så skall du sätta xi = gi(t1, t2), i = 1, 2, innan (eller efter) att du multiplicerar ihop med funktionalmatrisen för g.
Detta är ungefär som kedjeregeln (fg)’(t) = f’(g(t))g’(t).
PATENTERAMERA skrev:När du räknat ut funktionalmatrisen för f så skall du sätta xi = gi(t1, t2), i = 1, 2, innan (eller efter) att du multiplicerar ihop med funktionalmatrisen för g.
Detta är ungefär som kedjeregeln (fg)’(t) = f’(g(t))g’(t).
Hur ser detta ut: f(g_1(t_1,t_2),g_2(t_1,t_2)).
Alltså det jag gör är att byta ut x_1 och x_2 till t istället?
Precis. Sätt in x1 = och x2 = i funktionalmatrisen för f.
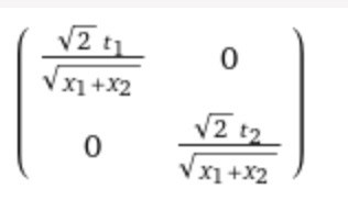
Jag fick följande.
, med och .
.
Sedan får man använda formeln nedan (som är generalisering av kedjeregeln).
.
Ahh, har använt x_1+x_2 på båda i din f´(x) b, -b.
Bra härledning. Kommer nog lösa detta nu, tack.