sammansatt funktion
Hej!
Har fastnat på denna uppgift:


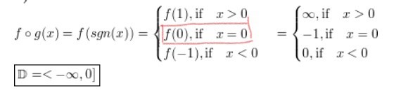
Och i facit står följande:

Jag fattar dock inte det som jag rödmarkerat... Om x=0 så är väl sgn(0) odefinierat? Så varför står det "f(0), if x=0"??
Tacksam för hjälp!
Mvh KriAno
De har antagligen en annan definition av sgn. Jag har aldrig sett den odefinerad i 0.
Signumfunktionen är noll då x = 0? Det kan säkert finnas andra definitioner, men facit verkar ha använt denna. :)
Okej tack!
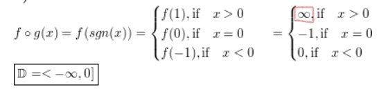
Men hur får de att Borde inte det vara odefinierat?.jpg?width=800&upscale=false)
KriAno skrev:Okej tack!
Men hur får de att Borde inte det vara odefinierat?
Kolla på domain för den sammansatta funktionen, 1 är inte med eftersom x > 0 är odefinierat. Jag håller med Micimacko att det är odefinierat för x > 0. Ibland blir det fel i facit, därför ska man inte fastna i vad facit säger.