Sammansatt funktion

Jag ska arbeta med denna uppgift och jag undrar inledningsvis vad som menas med
Q->R_ och Z+->Q ?
(Ursäkta val av tecken, skriver på mobilen)
Hur utläses det och vad innebär det i detta sammanhang?
Jag vet att Q är de rationella talen, R är de reella talen och Z+ är de positiva heltalen.
Vad betyder R_ ? Ska det vara ett minustecken efter R?
f: Q -> R- betyder att funktionens definitionsmängd är de rationella talen Q och att målmängden är de negativa reella R-
Att man skriver på det viset är en specifikation om att även om funktionsuttrycket rent algebraisk kanske accepterar andra tal än rationella så kommer denna specifika funkion endast att tillåta att man stoppar in rationella tal. f(1/2) är helt lugnt att skriva men f(\pi) är "olagligt".
Detta specificerar man eftersom en funktions egenskaper inte bara beror av det algebraiska uttrycket man använder för att beskriva det utan också vilka värden man får stoppa in.
är här en komposition man kan göra men g(f(x)) är inte en möjlig komposition eftersom den skulle inolvera att man vidarebefodrar allmänna reella tal till g(x) som endast tar heltal.
Tack för jättebra förklaring.
Här är mitt svar på a)
Hoppas det stämmer.

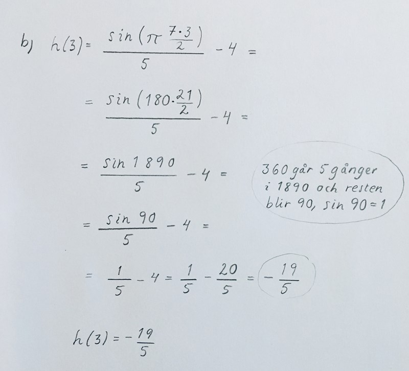
Är inte (sin pi)=0?
Jo, men är kanske inte .
Du bör utnyttja faktumet att sinusfunktionen är periodisk, och dra bort alla hela varv redan i början i stället för att räkna med så onödigt stora tal. Och varför blandar du in grader, när du har radianer?
Tack, jag ska dra bort de hela varven från början.
Jag tror att jag använder grader eftersom jag lärde mig det innan jag lärde mig radianer, men självklart är det onödigt att göra om pi till 180 här.
Skall du syssla med matematik är det radianer som gäller, om det inte specifikt står något annat i frågan.
Det ska jag ta fasta på i fortsättningen. Jag märker att det är grader i gymnasielitteraturen och radianer i universitetskompendierna/böckerna.
c) Vi har att f är en funktion och att g är en funktion
Den sammansatta funktionen h är definierad genom att först applicera g och sedan f. Det gäller att h(x) = f (g(x)).
Funktionen h är alltså en funktion från till Låt alltså h: vilket betyder att den sammansatta funktionen f(g(x)) har definitionsmängden (mängden av de positiva heltalen) och målmängden (mängden av de negativa reella talen).
d) Vi ska nu bestämma värdemängde för h. Definitionsmängden för h är , dvs. de positiva heltalen 1, 2, 3, 4....osv. Så vi kan alltså sätta in positiva heltal, i stället för x i sinusfunktionen
.
Jag vet att sinusfunktioner har perioden och det betyder att jag kan dra bort "hela varv" så att jag efter sin i täljaren får kvar någonting som är mindre än t.ex. eller 0.
När jag provat olika heltal för x har jag funnit att värdemängden är
Det är de enda värdena som funktionen kan anta eftersom täljaren i funktionen kan bli antingen 1, 0 eller -1. Man tar nämligen bort ett antal multiplar av 4 i uttrycket i täljaren, efter att man satt in något positivt heltal i stället för x. Då kan uttrycket som blir kvar efter sin enbart bli
f) Funktionen är inte surjektiv eftersom värdemängden inte är densamma som målmängden. Värdemängden är Målmängden är mängden av alla negativa reella tal, . Visserligen tillhör värdemängden de reella negativa talen, men värdemängden är bara en delmängd av målmängden och då är funktionen inte surjektiv.
e) Är funktionen h en injektiv funktion? En funktion är injektiv om att a ≠ b medför att
f(a)≠ f(b).
...
f) funktionen h är inte injektiv eftersom a≠b ändå medför att h(a)=h(b).
Flera av de positiva heltalen, vilka alla ingår i definitionsmängden, kommer nämligen att avbildas på samma element.
Om vi sätter a=1 och b=9 så har vi att 1 ≠ 9 men h(1) = h(9) eftersom både 1 och 9 om det sätts in på platsen för x i funktionen kommer att ge samma värde på funktionen, -21/5.
Lisa Mårtensson, du vet väl att du kan redigera dina inlägg (inom 2 timmar) så att du slipper spamma tråden så förfärligt?! Då hade det blivit 3 inlägg, inte 5. /moderator
Jag ska tänka på det, så det inte blir så många inlägg från trådstartaren själv. Det är ju onödigt.


