3
svar
89
visningar
offan123 behöver inte mer hjälp
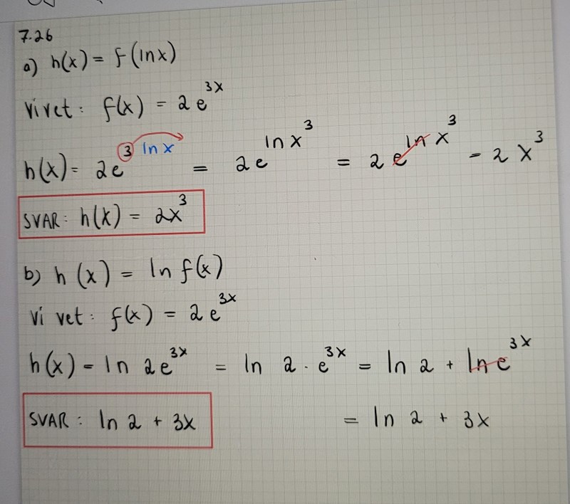
Sammansatta funktioner


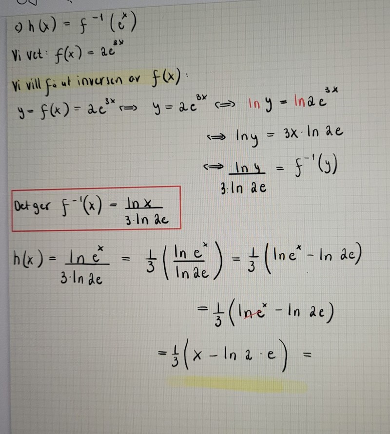
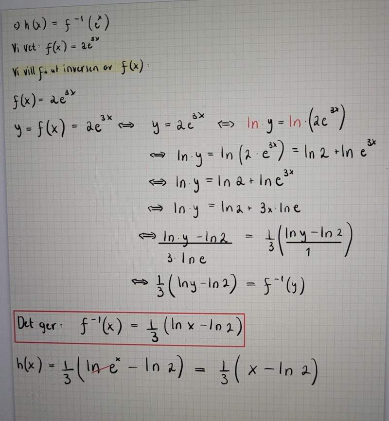
Är a) och b) rätt, och på c) får jag nästan rätt men det ska stå 1/3(x- ln2), ser någon felet?

Kontrollera logaritm-lagarna. Observera att inte är detsamma som
Längre ner har du gjort ett liknande tankefel: är inte detsamma som
Men den delen kommer försvinna när du får rätt på
Jag får detta. Sen undrar jag hur du visste att 3x är innanför parentesen, hur kan man se det ifall jag får någon liknande uppgift?
Jag hänger med nu vart parentesen hamnar, är detta rätt?