ekvation med x i nämnaren
Svårt att greppa, gör jag rätt? Om inte vad gör jag för fel och hur går jag vidare?
Ändrade din obegripliga rubrik till en som beskriver vad tråden handlar om /Smaragdalena, moderator
Förstår inte riktigt hur jag får fram x
Multiplicera båda sidorna av ekvationen med nämnaren (x). Vad får du då?
förlåt att jag är så sjukt trög! Stressad och de låser sig i huvudet på mig och fattar ingenting! Brukar vara bra på matte...
Hej!
Det gäller att är samma sak som , så du har fått att
Du har alltså ekvationen . Multiplicera båda leden med , så blir du av med nämnaren.
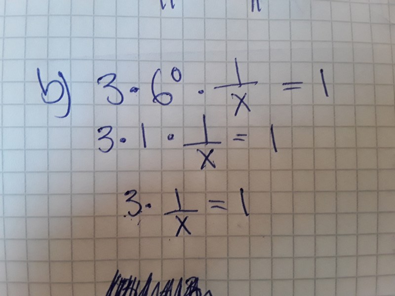
Såg talet ut från början. Här ser ni hur jag gjort.. Hemskt ledsen men jag förstår inget just nu.. :(
Ta ett djupt andetag!
Du har gjort rätt hitintills. Nu kan du, som flera sagt, skriva ihop din ekvation till .
Om det istället stått hur hade du då fått ut x?
Då hade jag tagit 2*4=8 x= 8.
Från början hade du ekvationen . Du har själv förenklat det till . Jag multiplicerade bara ihop med . Då blev det , som jag skrev i mitt förra inlägg.
stämmer. För säkerhets skull kan du stoppa in värdet i ursprungsekvationen och kolla att . Det är en bra vana att alltid göra detta.
Hej!
Ja, det stämmer att är sådant att , eftersom .
Tack.. Jag tror jag förstår denna nu.. Hoppas jag.. Tack för hjälpen! :)
