1
svar
41
visningar
theg0d321 behöver inte mer hjälp
sannolikhet

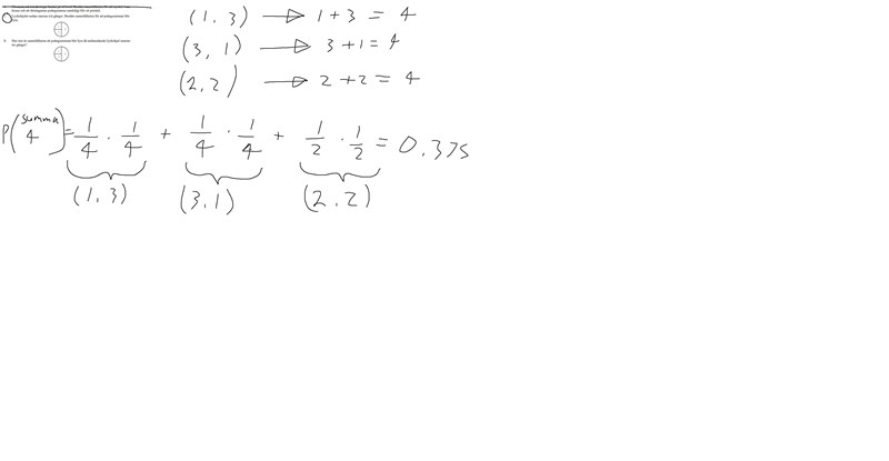
Min lösning:

Har jag löst uppgiften på ett korrekt sätt? Facit anger ingen lösning, utan endast ett svar.
Tack på förhand.
Det är rätt, om än något kortfattad redovisning.