1
svar
134
visningar
Qetsiyah behöver inte mer hjälp
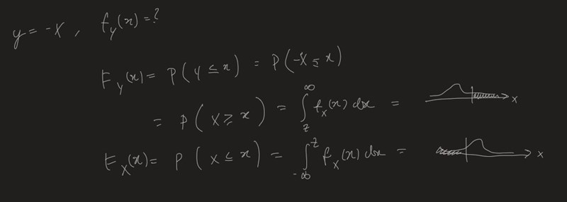
Sannolikhet, "equal in distribution": bevisa att om X är normalfördelad så är X e.i.d. -X
Har inte tillgång till facit.
Frågan är inte så svår, men jag ser inte alls hur likheten kan stämma,

Den enda möjligheten jag ser till att göra det uppgiften vill är att tolka "-X" som att man tar den kumulativa distributionen från höger till vänster (plus oändligheten till z), det blir såklart lika när normalfördelningen är jämn kring origo.
För det första kan inte pdf:er anta negativa värden, så den spegelvända normalfördelningen i bilden är inte en giltig pdf. Använd definitionen av cdf så kommer du finna att:

