Sannolikhetsuppgift (bågskytte)
Någon som kan hjälpa mig med denna? Min lösning är med stor sannolikhet fel.


Jag antar att rubriken har blivit fel, och det handlar om bågskytte. Normalfördelning behövs inte här, det är en diskret fördelning.
Jag byter ut 'försenat tåg' mot 'bågskytte' i rubriken då uppgiften inte handlar försenade tåg. Skicka PM om du vill ha annan rubrik. /moderator
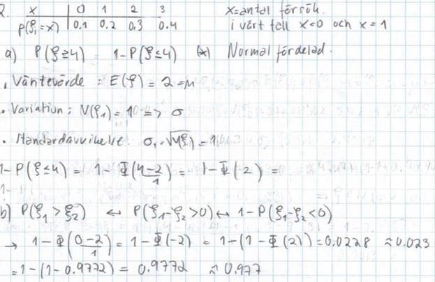
Uppgift a. Du ska beräkna sannolikheten . Det finns två sätt att göra detta:
- Bestäm sannolikhetsfördelningen för .
- Använd betingad sannolikhet.
Uppgift b. Händelsen är samma sak som händelsen Bestäm sannolikheten för komplementhändelsen.
Uppgift c. Använd Centrala gränsvärdessatsen för att beräkna den sökta sannolikheten; för detta behöver du först bestämma väntevärde och varians för ett enskilt .
Uppgift d. Förstår inte vad som avses här. Ska två försök av 5 tillsammans ge 2 poäng, eller ska två försök enskilt ge 2 poäng?
Laguna skrev:Jag antar att rubriken har blivit fel, och det handlar om bågskytte. Normalfördelning behövs inte här, det är en diskret fördelning.
Jag läste inte längre än till b för det fanns inte mer lösning än så. c behöver normalfördelning.
Det blir lätt rörigt om man svarar utan att ha läst hela tråden. Sådana inlägg kan göra mer skada än nytta.
Bubo skrev:Det blir lätt rörigt om man svarar utan att ha läst hela tråden. Sådana inlägg kan göra mer skada än nytta.
Menar du mig? Ja, det är sant, men det var jag som svarade först.
Ledsen, det var mitt fel. Ska ge det ett försök igen nu :)