Sannolikhet medellängd
Behöver hjälp med 26. b). Tycker jag räknat rätt men det tycker inte facit. Förstår verkligen inte vad jag gör för fel.. tacksam för hjälp!


Nu var det längesedan jag sist såg på sådana här uträkningar, men:
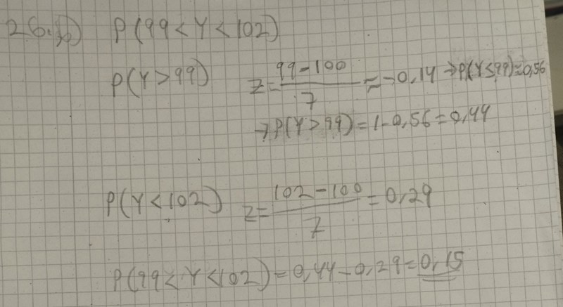
P(99<Y<102) borde väl vara sannolikheten att en slumpmässig 4-åring är mellan 99 och 102 cm lång. Sätter du detta likvärdigt med sannolikheten att 100 slumpmässigt valda 4-åringar har en medellängd på 99 till 102 cm? Det skulle innebära att antalet 4-åringar inte spelar någon roll, trots att ju fler vi tar med desto större är sannolikheten att deras medellängd hamnar kring väntevärdet.
Sedan får du sannolikheten för P(Y>99) och P(Y<102) till mindre än 0,5 i båda fallen. Detta trots att en normalfördelning har en symmetrilinje genom x=väntevärdet så om man har sannolikheten för ett intervall som innefattar väntevärdet så måste den bli minst 0,5.
Har jag misstolkat vad P(Y<[ett värde]) betyder?
Bedinsis skrev:Nu var det längesedan jag sist såg på sådana här uträkningar, men:
P(99<Y<102) borde väl vara sannolikheten att en slumpmässig 4-åring är mellan 99 och 102 cm lång. Sätter du detta likvärdigt med sannolikheten att 100 slumpmässigt valda 4-åringar har en medellängd på 99 till 102 cm? Det skulle innebära att antalet 4-åringar inte spelar någon roll, trots att ju fler vi tar med desto större är sannolikheten att deras medellängd hamnar kring väntevärdet.
Sedan får du sannolikheten för P(Y>99) och P(Y<102) till mindre än 0,5 i båda fallen. Detta trots att en normalfördelning har en symmetrilinje genom x=väntevärdet så om man har sannolikheten för ett intervall som innefattar väntevärdet så måste den bli minst 0,5.
Har jag misstolkat vad P(Y<[ett värde]) betyder?
Förlåt, men förstår tyvärr inte helt vad du menar:(
Läste på en smula.
Till att börja med kommer du fram till att sannolikheten att en slumpmässig 4-åring är över 99 cm är 0,44. Detta genom att först få reda på att sannolikheten att hen är under 99 cm är 0,56.
Om vi istället frågar oss hur stor sannolikheten att hen är under 100 cm är så måste det vara något större än sannolikheten att hen är under 99 cm, eftersom alla 4-åringar som är 99-100 cm långa dessutom ingår i mängden. Eftersom 100 cm är väntevärdet vet vi dessutom att det skall vara hälften av alla 4-åringar som är kortare, matematiskt:
Med andra ord så kan sannolikheten att hen är under 99 cm inte vara 0,56. Jag finner det mycket mer troligt att 0,44 är den riktiga siffran; det faktum att det är en negativ z-variabel får mig att tro att vilken av de två sannolikheterna 0,56 och 0,44 man skall ta blir annorlunda.
Då vi sedan går till P(Y<102) så räknar du ut z-variabelns värde men vad jag kan se så utnyttjar du den sedan aldrig i någon tabell över den kumulativa normalfördelningsfunktionen; jag får det till att det borde vara 0,61409, inte bara 0,29 att använda rätt av.
Slutligen så är det vi räknat på nu vad sannolikheten att en(1) fyra-åring har en längd inom intervallet, så man får justera för att ta hänsyn till att det är ett medelvärdes sannolikhet vi är ute efter.
(102-100)/7 är mycket riktigt ca 0.29, men det är ingen sannolikhet.
Har en del av lösningen här. Men förstår verkligen inte varför man dividerar med 0.7 och inte 7?

Det är ett medelvärde av N mätningar, så standardavvikelsen sjunker en faktor sqrt(N).
Bubo skrev:Det är ett medelvärde av N mätningar, så standardavvikelsen sjunker en faktor sqrt(N).
Då förstår jag tack!!