2
svar
98
visningar
Luffy behöver inte mer hjälp
Sannolikhet - Normalfördelning
Uppgift:
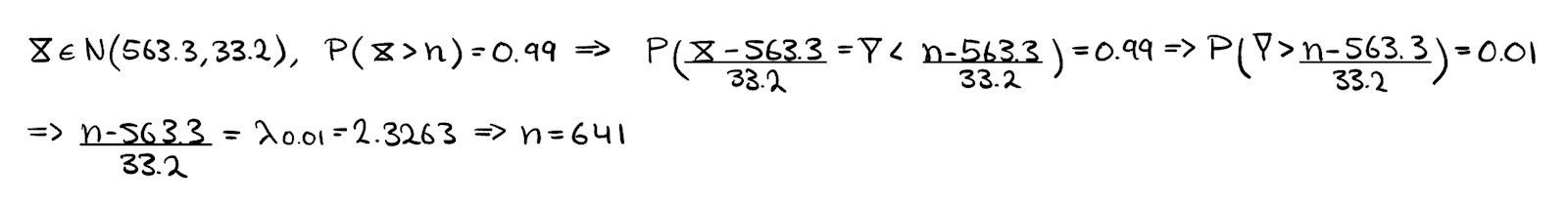
Facit:

Min lösning:
Hur kommer det sig att de tar i facit på rad 4 istället för som jag gjort?
Och visst spelar det ingen roll att man skriver istället för i detta fall då det är en kontinuerlig fördelning?
Du har beräknat i princip samma sak med tvärtom, d.v.s. att andelen spikar som understiger n är 99%. Enligt uppgiften ska andelen spikar som överstiger n vara 99%
Precis, det spelar i praktiken ingen roll om du använder strikt olikhet eller vanlig då fördelningen är kontinuerlig.
Yes! Är med nu, tack för hjälpen.