Sannolikhet och statistik

behöver hjälp med följande uppgift a och b
jag har tänkte att man kan använda följande formel

Varför misstänker du att datan är Poissonfördelad?
Hur tänker du när du väljer mellan Poission-fördelning och Normal-fördelning?
Fibonacci skrev:Varför misstänker du att datan är Poissonfördelad?
Såg nu att jag valde fel, ska det inte vara följande
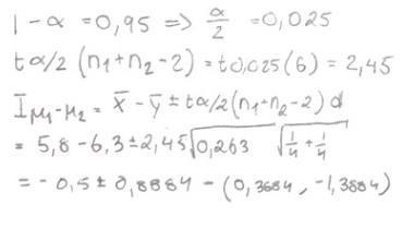
Konfidensintervallet för en normalfördelad variabel ser ut så här:
medelvärdet plus/minus felmarginalen = medelvärdet plus/minus (det-kritiska-värdet * standardfelet) = (medelvärdet + felmarginalen, medelvärdet - felmarginalen).
medelvärdet plus/minus felmarginalen = medelvärdet plus/minus (det-kritiska-värdet * standardfelet) = (medelvärdet + felmarginalen, medelvärdet - felmarginalen).
Ovan är något obegripligt. Du skulle nog skrivit en vanlig bokstavsformel i stället.
Jo...:
medelvärdet minus/plus felmarginalen = (medelvärdet - felmarginalen, medelvärdet + felmarginalen)
...fast du menar väl något annat än "felmarginalen"
Det är rätt att anta att datan kommer från en normalfördelad population, dessutom får det antas att det är två OSU. Dock inte säkert att du ska använda KI för normalfördelning. Tänk på att det är små stickprov.
Affe Jkpg skrev:medelvärdet plus/minus felmarginalen = medelvärdet plus/minus (det-kritiska-värdet * standardfelet) = (medelvärdet + felmarginalen, medelvärdet - felmarginalen).
Ovan är något obegripligt. Du skulle nog skrivit en vanlig bokstavsformel i stället.
Jo...:
medelvärdet minus/plus felmarginalen = (medelvärdet - felmarginalen, medelvärdet + felmarginalen)
...fast du menar väl något annat än "felmarginalen"
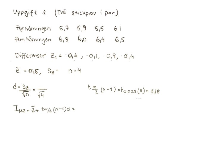
det är stick prov i par och jag har kommit en liten bit och det är att differensen z1= -0,6, -0,1, -0,9, -0,4
n= 5 men vet inte vad z med streck över och vad Sz är för att kunna räkna ut d
Affe Jkpg skrev:medelvärdet plus/minus felmarginalen = medelvärdet plus/minus (det-kritiska-värdet * standardfelet) = (medelvärdet + felmarginalen, medelvärdet - felmarginalen).
Ovan är något obegripligt. Du skulle nog skrivit en vanlig bokstavsformel i stället.
Jo...:
medelvärdet minus/plus felmarginalen = (medelvärdet - felmarginalen, medelvärdet + felmarginalen)
...fast du menar väl något annat än "felmarginalen"
Har kommit så här långt hur ska jag räkna ut standardavvikelsen?
Ska man para stickproven på det viset?
Jag tänker att man beräknar väntevärdet och standardavvikelsen för stickproven i resp. sjö och sedan beräknar och analyserar man:
- Skillnaden mellan stickprovens väntevärden
- Hur/om de båda konfidensintervallen överlappar
Affe Jkpg skrev:Ska man para stickproven på det viset?
Jag tänker att man beräknar väntevärdet och standardavvikelsen för stickproven i resp. sjö och sedan beräknar och analyserar man:
- Skillnaden mellan stickprovens väntevärden
- Hur/om de båda konfidensintervallen överlappar
det är inte stickprov i par insåg jag så kan göra den metoden men för vardera sjö separat då och jämföra resultaten
Affe Jkpg skrev:Ska man para stickproven på det viset?
Jag tänker att man beräknar väntevärdet och standardavvikelsen för stickproven i resp. sjö och sedan beräknar och analyserar man:
- Skillnaden mellan stickprovens väntevärden
- Hur/om de båda konfidensintervallen överlappar
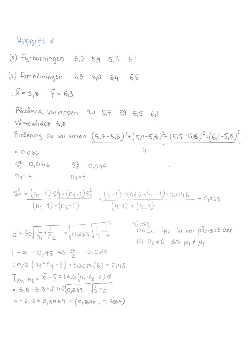
här är min lösning, är det rätt?
här är min lösning, är det rätt?
Du har varken svarat på fråga (a) eller (b), så vitt jag kan se, så du har inte gjort färdigt uppgiften.
Smaragdalena skrev:här är min lösning, är det rätt?
Du har varken svarat på fråga (a) eller (b), så vitt jag kan se, så du har inte gjort färdigt uppgiften.
jag har räknat ut konfidensintervallet
bananis98 skrev:Smaragdalena skrev:här är min lösning, är det rätt?
Du har varken svarat på fråga (a) eller (b), så vitt jag kan se, så du har inte gjort färdigt uppgiften.
jag har räknat ut konfidensintervallet
Inte så tydligt att jag kunde hitta det i siffersalladen. Det borde stå något i stil med (obs påhittade siffror, det kan hända att slutsatsen skall vara något helt annat) "SVAR: Man kan med 95 % sannolikhet säga att pH i sjön Fyrhörningen ligger mellan 5,7 och 5,9 medan pH i Femhörningen ligger mellan 6,1 och 6,2. Det är alltså statistiskt säkerställt att vattnet i Fyrhörningen är surare."
bananis98 skrev:Affe Jkpg skrev:Ska man para stickproven på det viset?
Jag tänker att man beräknar väntevärdet och standardavvikelsen för stickproven i resp. sjö och sedan beräknar och analyserar man:
- Skillnaden mellan stickprovens väntevärden
- Hur/om de båda konfidensintervallen överlappar
här är min lösning, är det rätt?
Självfallet är väntevärdena av stickproven i resp. sjö inte exakt lika. Att dom är olika bevisar i stort sett inget!
Varför beräknar du inte de två konfidensintervallen för stickproven i de båda sjöarna?
Affe Jkpg skrev:bananis98 skrev:Affe Jkpg skrev:Ska man para stickproven på det viset?
Jag tänker att man beräknar väntevärdet och standardavvikelsen för stickproven i resp. sjö och sedan beräknar och analyserar man:
- Skillnaden mellan stickprovens väntevärden
- Hur/om de båda konfidensintervallen överlappar
här är min lösning, är det rätt?
Självfallet är väntevärdena av stickproven i resp. sjö inte exakt lika. Att dom är olika bevisar i stort sett inget!
Varför beräknar du inte de två konfidensintervallen för stickproven i de båda sjöarna?
Hur ska jag göra det?
Hur ska jag göra det?
Du tycks klara att beräkna konfidens-intervallet för någon slags skillnad.
Vad blev problemet nu?
Affe Jkpg skrev:Hur ska jag göra det?
Du tycks klara att beräkna konfidens-intervallet för någon slags skillnad.
Vad blev problemet nu?
Har jag beräknat rätt, eller är det något som fattas?
Har jag beräknat rätt, eller är det något som fattas?
Varför beräknar du inte de två konfidensintervallen för stickproven i de båda sjöarna?
Affe Jkpg skrev:Har jag beräknat rätt, eller är det något som fattas?
Varför beräknar du inte de två konfidensintervallen för stickproven i de båda sjöarna?
Hur då? ☺️
Det bör finnas en användbar formel i din formelsamling, annars kan du slå upp det i Wikipedia. Som vanligt finns det mer på den engelska sidan än den svenska.
Hur då? ☺️
Du visar en grundläggande förmåga, men sedan ställer du en anmärkningsvärd fråga. Så här har du själv skrivit:

Varför kan du då inte försöka beräkna konfidensintervallet för var och en av de två stickproven?
https://en.wikipedia.org/wiki/Confidence_interval#Basic_steps
Jag hade inte använt poolad varians då x och y får antas vara oberoende av varandra.