3
svar
152
visningar
Megalomanen behöver inte mer hjälp
Sannolikhet och statistik – Fördelningsfunktion
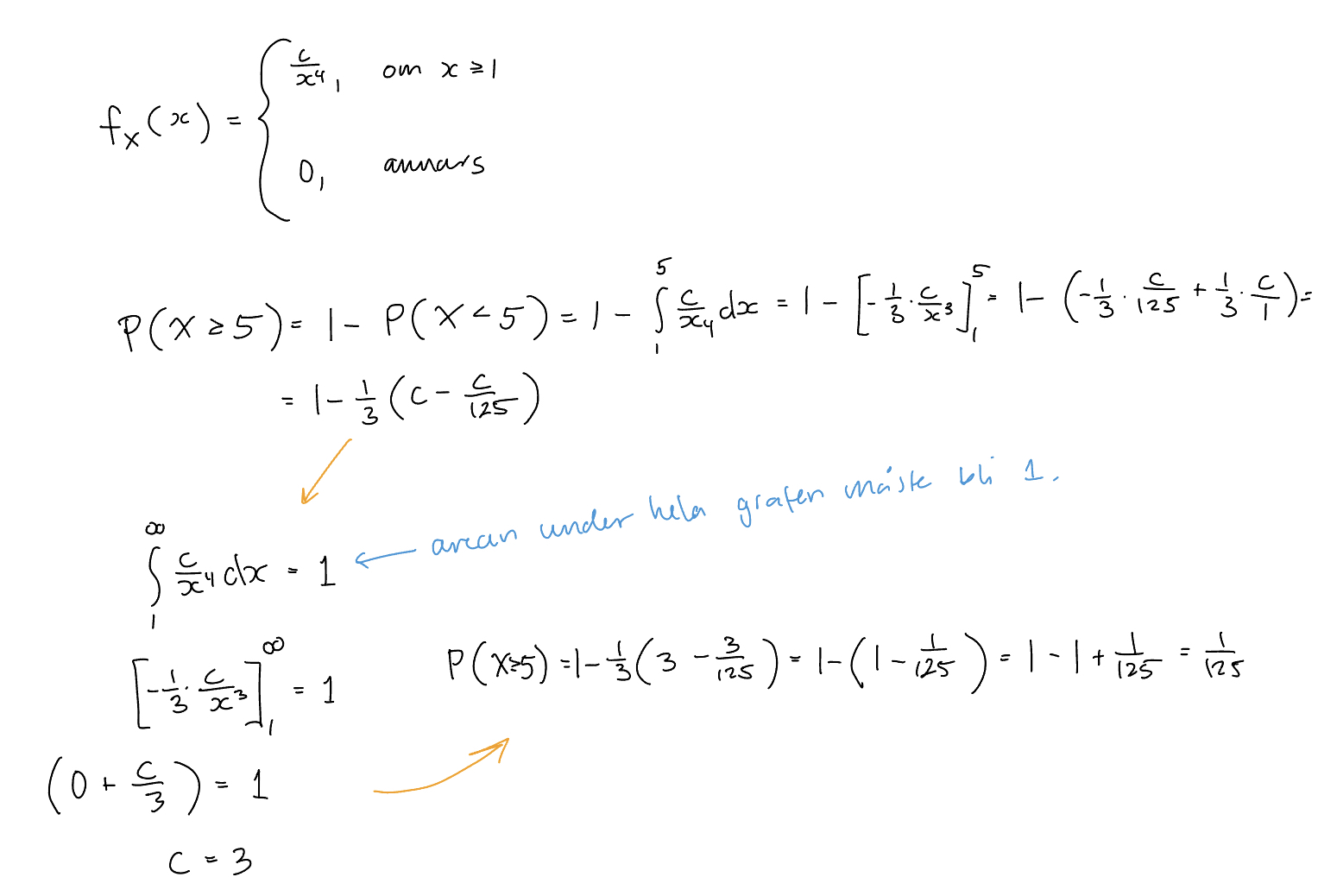
Hej! Vad gör jag för fel? Jag får rätt svar men min konstant c stämmer inte.


Jag tycker du har gjort rätt och facit fel.
I ett sådant här fall kan du ju kontrollera din lösning genom exempelvis wolframalpha. Vad om du integrerar med din konstant, blir det 1? Eller om du integrerar med facits konstant, blir det 1 då?
Hondel skrev:I ett sådant här fall kan du ju kontrollera din lösning genom exempelvis wolframalpha. Vad om du integrerar med din konstant, blir det 1? Eller om du integrerar med facits konstant, blir det 1 då?
okej jag testar!