2
svar
101
visningar
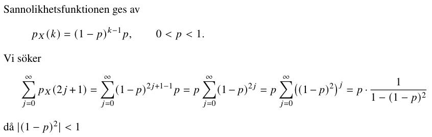
Sannolikhet uppg 7a
Hej, jag förstår inte varför blir summa av p(X=2j+1) blir lika med (p*sum(1-p)^2)^j och sedan blir lik
p*1/(1-(1-p)^2)
kan någon visa mig hur man räknar fram till detta
tack på förhand 

Tack så jättemycket
det var till stor hjälp
mvh
suad
