0
svar
128
visningar
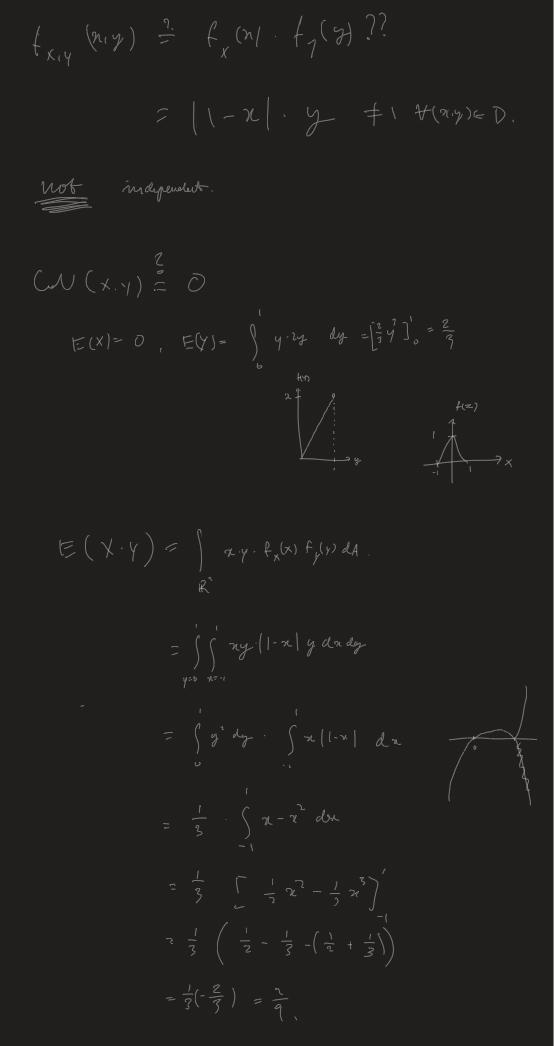
Sannolikhet: zero covariance but dependent random variables
Jag har inget facit så kan någon kolla mitt svar?
Svar:


